Dernière mise à jour :
18/03/2026
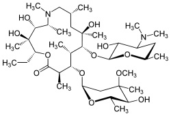
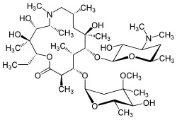
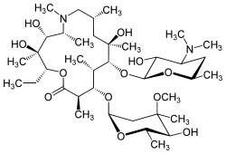
Antibiotique   Azithromycine  
Forme dermique
injectable
Stabilité des préparations Stabilité en mélange Facteur influençant la stabilité Compatibilités Bibliographie pdf
   Structure chimique  

Forme dermique
Stabilité des préparations   Forme dermique   Stabilité des préparations : Azithromycine     
Contenant Origine Excipient Température Conservation Durée de stabilité Bibliographie
Non précisé Flacon injectable 500 mg
Zithromax
Ethanol 60% >> 25 mL
25°C Avec ou sans lumière
182 Jour
2894


  Mentions Légales