Utolsó frissítés :
18/03/2026
Antibiotikum   Azithromycine  
kenőcs
Injekció
Stabilitása gyógyszerészeti készítmények A keverékek stabilitása Stabilitást befolyásoló tényezők Kompatibilitás Irodalom pdf
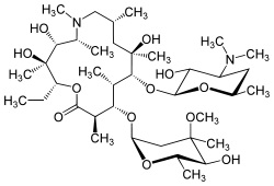
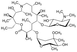
   Kémiai szerkezet   

kenőcs
Stabilitása gyógyszerészeti készítmények   kenőcs   Stabilitása gyógyszerészeti készítmények : Azithromycine     
Csomagolás Origine segédanyag Hőmérséklet Tárolás A stabilitás időtartama Irodalom
Nincs meghatározva Injekcióhoz való űveg 500 mg
Zithromax
Etanol 60% >> 25 mL
25°C Fénnyel vagy anélkül
182 Nap
2894


  Mentions Légales