Posledná aktualizácia :
17/12/2025
antibiotikum   Azithromycine  
Dermálny prípravok
Injekcia
Stabilita farmaceutických prípravkov Stabilita v zmesiach Faktory ovplyvňujúce stabilitu Kompatibility Odkazy na literatúru PDF
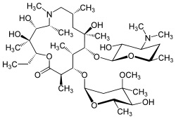
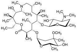
   Chemický vzorec  

Dermálny prípravok
Stabilita farmaceutických prípravkov   Dermálny prípravok   Stabilita farmaceutických prípravkov : Azithromycine     
obal Pôvod Pomocná látka teplota uchovávanie Trvanie stability odkazy na lieteratúru
nešpecifikované Injekčná liekovka 500 mg
Zithromax
Etanol 60% >> 25 mL
25°C Za svetla alebo chránené pred svetlom
182 dní
2894


  Mentions Légales