Last update :
18/03/2026
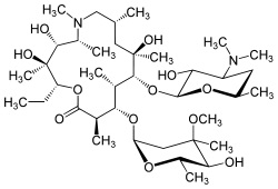
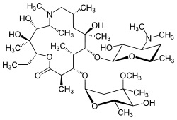
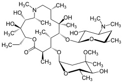
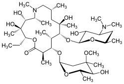
Antibiotic   Azithromycine  
Ointments
injection
Stability of pharmaceutical preparations Stability of mixtures Factors which affect stability Compatibility References pdf
   Chemical structure  

Ointments
Stability of pharmaceutical preparations   Ointments   Stability of pharmaceutical preparations : Azithromycine     
Container Origine excipient Temperature Storage Duration of stability References
Not specified Medicine bottle for injection 500 mg
Zithromax
Ethanol 60% >> 25 mL
25°C With or without light
182 Day
2894


  Mentions Légales