آخر تحديث :
18/03/2026
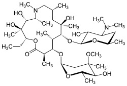
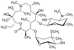
مضاد حيوي   Azithromycine  
المراهم
حقن
استقرار المستحضرات الصيدلانية استقرار مخاليط العوامل التي تؤثر على الاستقرار التوافق مراجع pdf
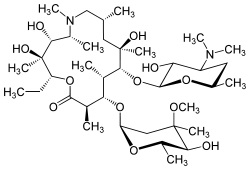
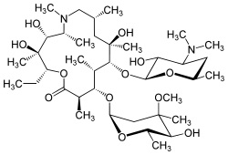
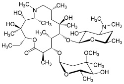
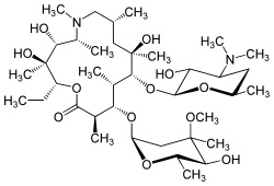
   التركيب الكيميائي  

المراهم
استقرار المستحضرات الصيدلانية   المراهم   استقرار المستحضرات الصيدلانية : Azithromycine     
حاوية Origine الاضافات درجة الحرارة تخزين مدة الاستقرار مراجع
لم يتم تحديد زجاجة الدواء للحقن 500 mg
Zithromax
الإيثانول 60% >> 25 mL
25°C مع أو بدون ضوء
182 يوم
2894


  Mentions Légales