Posledná aktualizácia :
31/03/2026
antibiotikum   Tobramycin sulfate  
Aerosól
Injekcia Očná instilácia Perorálny roztok
Stabilita farmaceutických prípravkov Stabilita v zmesiach Faktory ovplyvňujúce stabilitu Kompatibility Odkazy na literatúru PDF
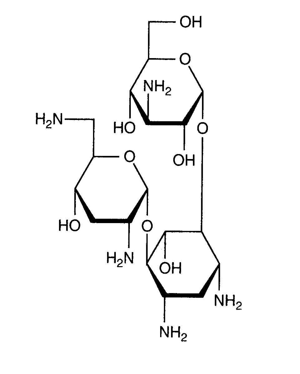
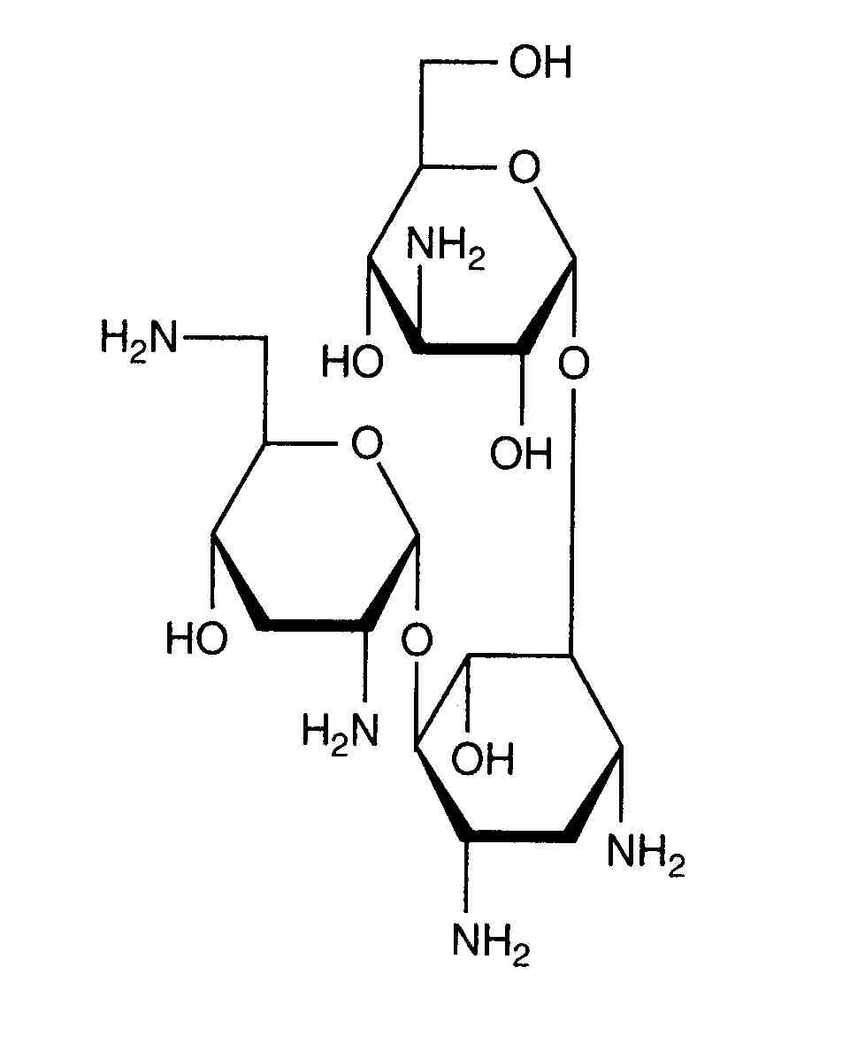
   Chemický vzorec  

Aerosól
Stabilita farmaceutických prípravkov   Aerosól   Stabilita farmaceutických prípravkov : Tobramycin sulfate     
obal Pôvod Pomocná látka teplota uchovávanie Trvanie stability odkazy na lieteratúru
Sklo Injekčná liekovka 2400 mg
Nebcin®
NaCl 0.45% >> 30 ml
25°C nešpecifikované
195 dní
3431
Úroveň dôkazov A

Sklo Injekčná liekovka 2400 mg
Nebcin®
NaCl 0.45% >> 30 ml
4°C nešpecifikované
195 dní
3431
Úroveň dôkazov A


  Mentions Légales