最新更新 :
31/03/2026
抗菌薬   Tobramycin sulfate  
エアロゾル
注射薬 点眼薬 経口液
調剤時の安定性 混合時の安定性 安定性に影響する因子 互換性 引用文献 PDF
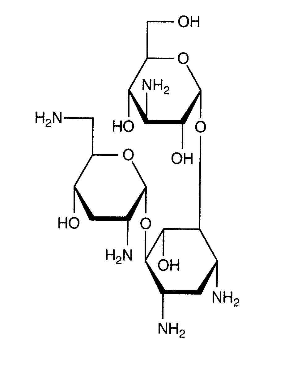
   化学構造  

エアロゾル
調剤時の安定性   エアロゾル   調剤時の安定性 : Tobramycin sulfate     
容器 Origine 添加剤 温度 保管 安定期間 引用文献
ガラス 注射用瓶 2400 mg
Nebcin®
NaCl 0.45% >> 30 ml
25°C 特記なし
195 日
3431
エビデンスレベル A

ガラス 注射用瓶 2400 mg
Nebcin®
NaCl 0.45% >> 30 ml
4°C 特記なし
195 日
3431
エビデンスレベル A


  Mentions Légales