Viimeisin päivitys :
31/03/2026
Antibiootit   Tobramycin sulfate  
Aerosoli
Injektioneste Oraaliliuos Silmätipat
Vakaus lääkevalmisteen Stabilius seoksissa Tekijät, jotka vaikuttavat stabiliuteen Yhteensopivuus Viitteet pdf
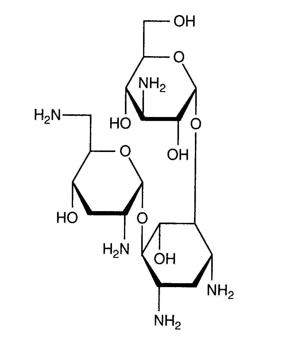
   Kemiallinen rakenne  

Aerosoli
Vakaus lääkevalmisteen   Aerosoli   Vakaus lääkevalmisteen : Tobramycin sulfate     
Astia Origine Apuaine Lämpötila Säilytys Vakauden kesto Viitteet
Lasi Injektionestepullo 2400 mg
Nebcin®
NaCl 0,45 % >> 30 ml
25°C Ei määritetty
195 Päivä
3431
Näytön laajuus A

Lasi Injektionestepullo 2400 mg
Nebcin®
NaCl 0,45 % >> 30 ml
4°C Ei määritetty
195 Päivä
3431
Näytön laajuus A


  Mentions Légales