Letztes “update” :
31/03/2026
Antibiotikum   Tobramycin sulfate  
Aerosol
Augentropfen Injektion Lösung zum Einnehmen
Stabilität von pharmazeutischen Präparaten Gemengestabilität Stabilitätbeeinflussende Faktoren Kompatibilitäten Literaturverzeichnis pdf
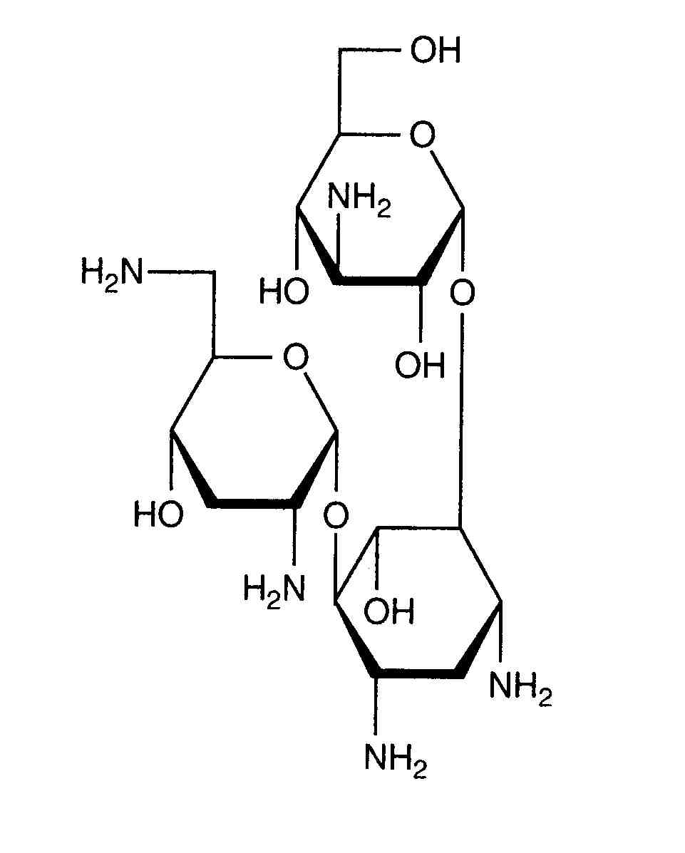
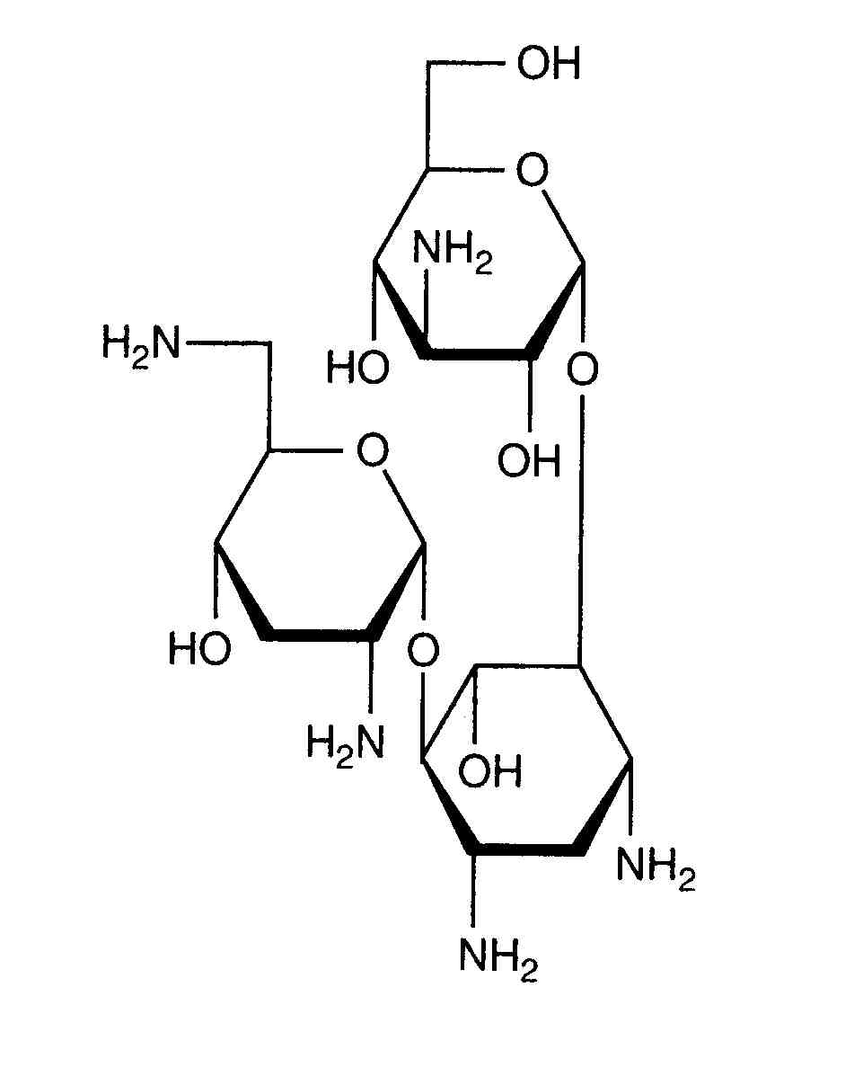
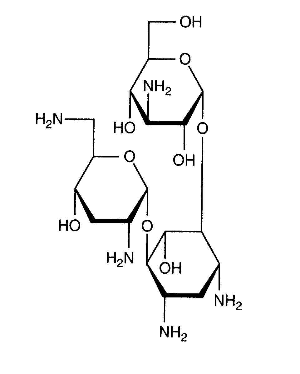
   Chemische Struktur  

Aerosol
Stabilität von pharmazeutischen Präparaten   Aerosol   Stabilität von pharmazeutischen Präparaten : Tobramycin sulfate     
Behälter Origine Hilfsstoff Temperatur Konservierung Dauer der Stabilität Literaturverzeichnis
Glas Injektionsflasche 2400 mg
Nebcin®
NaCl 0.45% >> 30 ml
25°C Nicht genau angegeben
195 Tag
3431
Evidenzgrad A

Glas Injektionsflasche 2400 mg
Nebcin®
NaCl 0.45% >> 30 ml
4°C Nicht genau angegeben
195 Tag
3431
Evidenzgrad A


  Mentions Légales