最新更新 :
31/03/2026
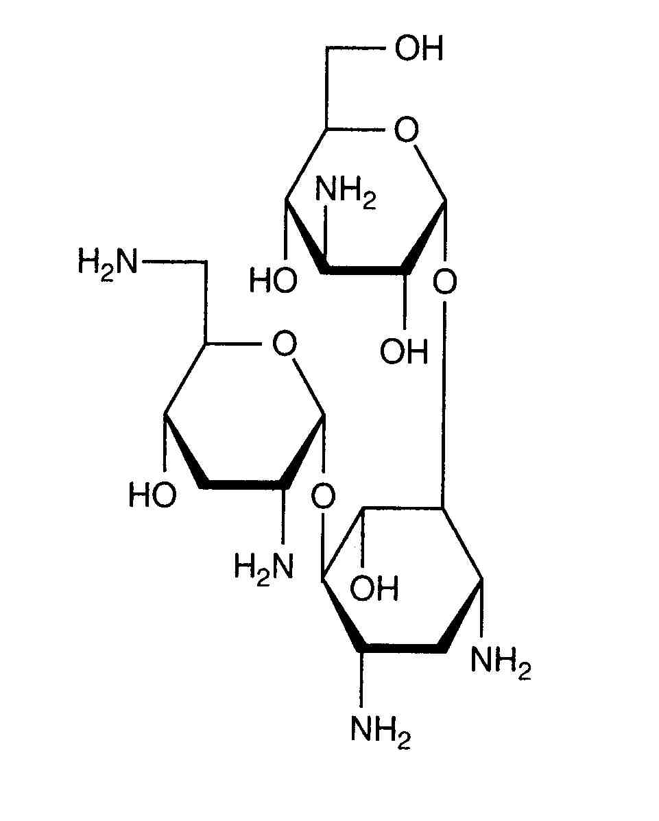
抗生素   Tobramycin sulfate  
气雾剂
口服剂 注射液 眼药水
制剂的稳定性 混合物稳定性 影响稳定性的因素 兼容性 引用文献 PDF
   化学式  

气雾剂
制剂的稳定性   气雾剂   制剂的稳定性 : Tobramycin sulfate     
容器 Origine 添加剂 温度 保存 穩定持續時間 引用文献
玻璃 注射用瓶 2400 mg
Nebcin®
NaCl 0.45% >> 30 ml
25°C 无特殊要求
195 白天
3431
A级

玻璃 注射用瓶 2400 mg
Nebcin®
NaCl 0.45% >> 30 ml
4°C 无特殊要求
195 白天
3431
A级


  Mentions Légales