Última actualización :
27/01/2026
Antifúngico   Amphotericin B  
Inyectables
Aerosol Enjuagues bucales Gotas oculares Solución Oral
Estabilidad en solucion Estabilidad en mezcla Factores que influyen sobre la estabilidad Compatibilidades método de inyección Bibliografía pdf
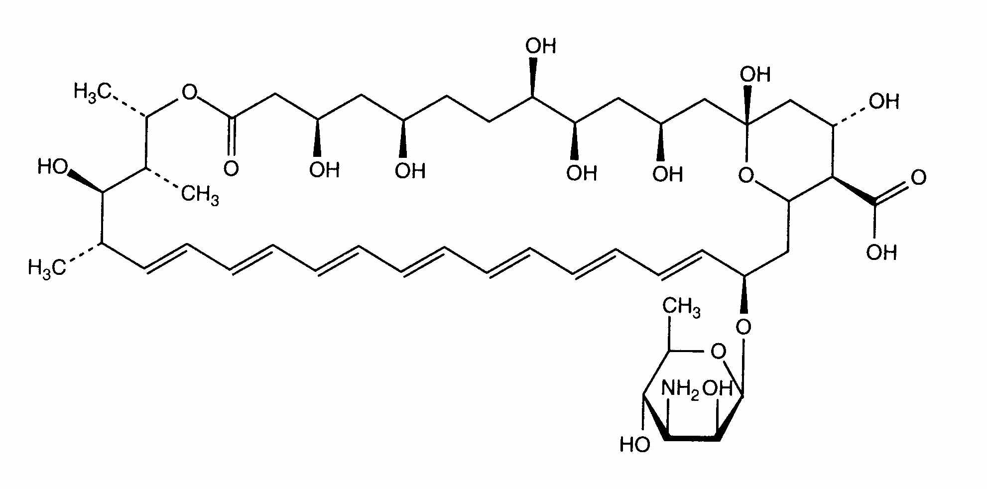
   Estructura química  

Nombre comercial   Nombre comercial     

Los nombres comerciales son orientativos y los excipientes de la formulación pueden ser distintos dependiendo del país y del laboratorio fabricante.

Fungizone Alemania, Canadá, Colombia, Dinamarca, Estados Unidos de América, Finlandia, Francia, Gran Bretaña, Grecia, Hungría, India, Irán, Irlanda, Italia, Malasia, Marruecos, Nueva Zelanda, Países Bajos, Portugal, Suecia, Suiza, Túnez, Turquía, Venezuela
Estabilidad en solucion   Inyectables   Estabilidad en solucion : Amphotericin B     
Envase Solvente Concentración Temperatura Conservación Duración de la estabilidad Bibliografía
Cloruro de polivinilo Glucosa 5% 0,05 & 0,5 mg/ml 23°C-25°C Con o sin luz
24 Hora
12
Nivel de evidencia D

Cloruro de polivinilo Glucosa 5% 0,1 mg/ml 15°C-25°C A cubierto de la luz
24 Hora
435
Nivel de evidencia D

Cloruro de polivinilo Glucosa 5% 0,1 mg/ml 4°C A cubierto de la luz
15 Día
1907
Nivel de evidencia D

Cloruro de polivinilo Glucosa 5% 0,1 & 0,25 mg/ml 4°C A cubierto de la luz
35 Día
436
Nivel de evidencia A+

Cloruro de polivinilo Glucosa 5% 0,2 & 0,5 mg/ml 25°C Luz
120 Hora
283
Nivel de evidencia C+

Cloruro de polivinilo Glucosa 5% 0,2 & 0,5 & 1 mg/ml 4°C A cubierto de la luz
120 Hora
283
Nivel de evidencia C+

Cloruro de polivinilo Glucosa 10% 0,1 mg/ml 15°C-25°C A cubierto de la luz
24 Hora
435
Nivel de evidencia D

Cloruro de polivinilo Glucosa 15% 0,1 mg/ml 15°C-25°C A cubierto de la luz
24 Hora
435
Nivel de evidencia D

Cloruro de polivinilo Glucosa 20% 0,1 mg/ml 15°C-25°C A cubierto de la luz
24 Hora
435
Nivel de evidencia D

Poliolefina Glucosa 5% 0,47 >> 0,75 mg/ml 25°C Luz
24 Hora
497
Nivel de evidencia C+

Poliolefina Glucosa 5% 0,92 >> 1,4 mg/ml 25°C No precisada
36 Hora
439
Nivel de evidencia A+

Poliolefina Glucosa 5% 0,92 >> 1,4 mg/ml 6°C A cubierto de la luz
36 Hora
439
Nivel de evidencia A+

Elastómero de poliisopreno Glucosa 5% 0,2 & 0,5 mg/ml 4°C A cubierto de la luz
10 Día
604
Datos de estabilidad del fabricante


  Mentions Légales