آخر تحديث :
27/11/2025
مضاد للفطريات   Amphotericin B  
حقن
الأيروصولات عن طريق الفم  غسول الفم قطرات العين
الاستقرار في حلول استقرار مخاليط العوامل التي تؤثر على الاستقرار التوافق طريقة التعاطي مراجع pdf
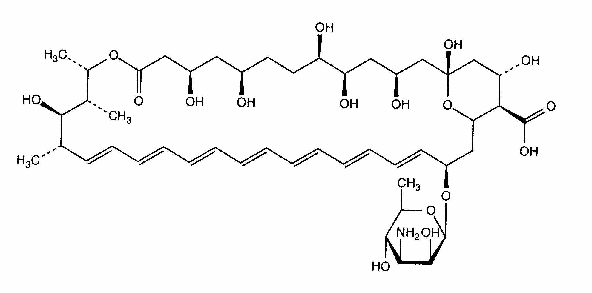
   التركيب الكيميائي  

حجز الاسم التجاري   حجز الاسم التجاري     

تحذير الأسماء التجاريه المختلفه قد تحتوي علي محتوي إضافات مختلفة حسب الدوله و المعمل

Fungizone ألمانيا, إيران, إيطاليا, البرتغال, الدنمارك, السويد, المغرب, الهند, الولايات المتحدة, ايرلندا, بريطانيا العظمي, تركيا, تونس, زيلاندا الجديدة, سويسرا, فرنسا, فنزويلا, فنلندا, كندا, كولومبيا, ماليزيا, هنغاريا, هولندا, يونان
الاستقرار في حلول   حقن   الاستقرار في حلول : Amphotericin B     
حاوية مذيب تركيز درجة الحرارة تخزين مدة الاستقرار مراجع
البولي فينيل كلوريد الجلوكوز %5 0,05 & 0,5 mg/ml 23°C-25°C مع أو بدون ضوء
24 ساعة
12
D مستوى الأدلة

البولي فينيل كلوريد الجلوكوز %5 0,1 mg/ml 15°C-25°C بعيدا عن الضوء
24 ساعة
435
D مستوى الأدلة

البولي فينيل كلوريد الجلوكوز %5 0,1 mg/ml 4°C بعيدا عن الضوء
15 يوم
1907
D مستوى الأدلة

البولي فينيل كلوريد الجلوكوز %5 0,1 & 0,25 mg/ml 4°C بعيدا عن الضوء
35 يوم
436
 A+ مستوى الأدلة

البولي فينيل كلوريد الجلوكوز %5 0,2 & 0,5 mg/ml 25°C ضوء
120 ساعة
283
C+ مستوى الأدلة

البولي فينيل كلوريد الجلوكوز %5 0,2 & 0,5 & 1 mg/ml 4°C بعيدا عن الضوء
120 ساعة
283
C+ مستوى الأدلة

البولي فينيل كلوريد الجلوكوز %10 0,1 mg/ml 15°C-25°C بعيدا عن الضوء
24 ساعة
435
D مستوى الأدلة

البولي فينيل كلوريد الجلوكوز %15 0,1 mg/ml 15°C-25°C بعيدا عن الضوء
24 ساعة
435
D مستوى الأدلة

البولي فينيل كلوريد الجلوكوز %20 0,1 mg/ml 15°C-25°C بعيدا عن الضوء
24 ساعة
435
D مستوى الأدلة

البولي فين الجلوكوز %5 0,47 >> 0,75 mg/ml 25°C ضوء
24 ساعة
497
C+ مستوى الأدلة

البولي فين الجلوكوز %5 0,92 >> 1,4 mg/ml 25°C لم يتم تحديد
36 ساعة
439
 A+ مستوى الأدلة

البولي فين الجلوكوز %5 0,92 >> 1,4 mg/ml 6°C بعيدا عن الضوء
36 ساعة
439
 A+ مستوى الأدلة

ولي إيزوبرين إلاستومر الجلوكوز %5 0,2 & 0,5 mg/ml 4°C بعيدا عن الضوء
10 يوم
604
بيانات الشركة المصنعة \\ \'ق الاستقرار


  Mentions Légales