Последнее обновление :
27/11/2025
Противогрибковое средство   Amphotericin B  
Инъекция
Аэрозоль Глазные капли Ополаскиватель для полости рта Раствор для перорального приёма
Стабильность растворов Стабильность смесей Факторы, которые влияют на стабильность Совместимость Способы введения Библиография pdf
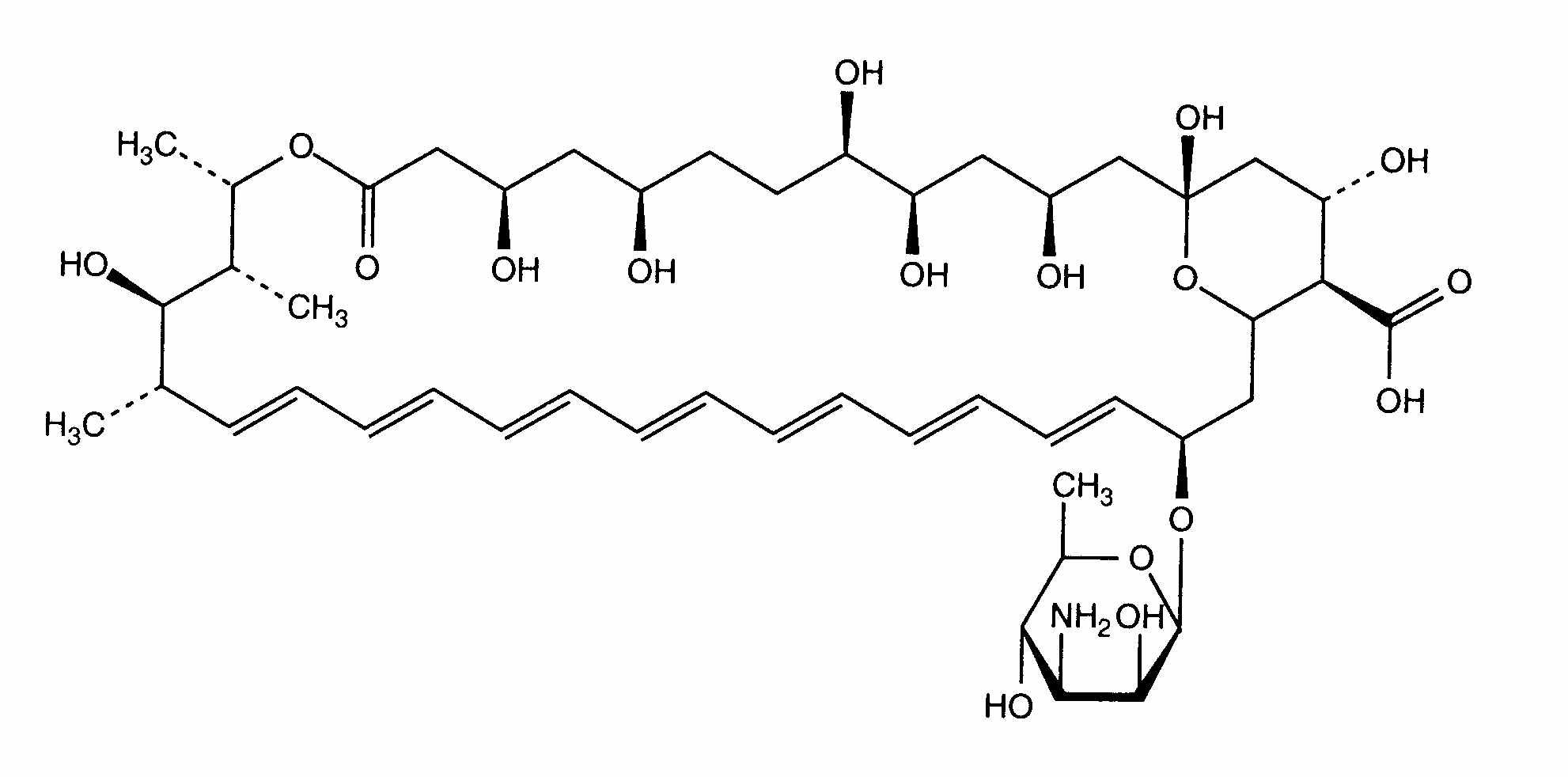
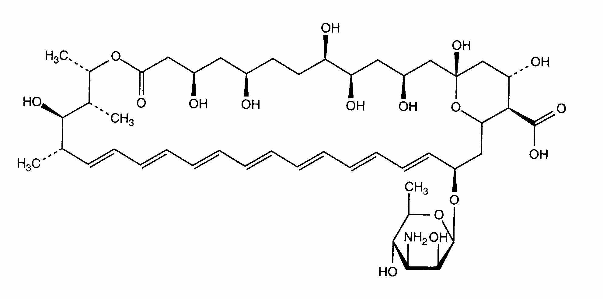
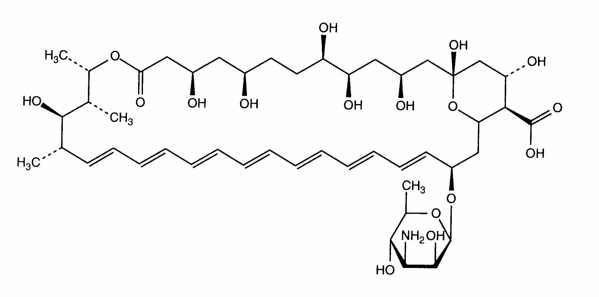
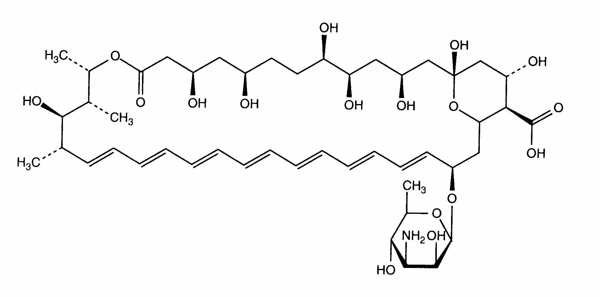
   Химическая структура  

Товарное название   Товарное название     

Trade names are indicative and excipients composition can be different depending on the country and manufacturers

Fungizone Великобритания, Венгрия, Венесуэла, Германия, Голландия, Греция, Дания, Индия, Иран, Ирландия, Италия, Канада, Колумбия, Малайзия, Марокко, новая Зеландия, Португалия, Соединённые Штаты Америки, Тунис, Турция, Финляндия, Франция, Швейцария, Швеция
Стабильность растворов   Инъекция   Стабильность растворов : Amphotericin B     
Упаковка Растворитель Концентрация Температура Хранение Продолжительность стабильности Ссылки
Поливинилхлорид Глюкоза 5% 0,05 & 0,5 mg/ml 23°C-25°C И на свету и в темноте
24 Час
12
Уровень доказательности D

Поливинилхлорид Глюкоза 5% 0,1 mg/ml 15°C-25°C Защищён от света
24 Час
435
Уровень доказательности D

Поливинилхлорид Глюкоза 5% 0,1 mg/ml 4°C Защищён от света
15 День
1907
Уровень доказательности D

Поливинилхлорид Глюкоза 5% 0,1 & 0,25 mg/ml 4°C Защищён от света
35 День
436
Уровень доказательности A +

Поливинилхлорид Глюкоза 5% 0,2 & 0,5 mg/ml 25°C Свет
120 Час
283
Уровень доказательности C+

Поливинилхлорид Глюкоза 5% 0,2 & 0,5 & 1 mg/ml 4°C Защищён от света
120 Час
283
Уровень доказательности C+

Поливинилхлорид Глюкоза 10% 0,1 mg/ml 15°C-25°C Защищён от света
24 Час
435
Уровень доказательности D

Поливинилхлорид Глюкоза 15% 0,1 mg/ml 15°C-25°C Защищён от света
24 Час
435
Уровень доказательности D

Поливинилхлорид Глюкоза 20% 0,1 mg/ml 15°C-25°C Защищён от света
24 Час
435
Уровень доказательности D

Полиолефин Глюкоза 5% 0,47 >> 0,75 mg/ml 25°C Свет
24 Час
497
Уровень доказательности C+

Полиолефин Глюкоза 5% 0,92 >> 1,4 mg/ml 25°C Не указано
36 Час
439
Уровень доказательности A +

Полиолефин Глюкоза 5% 0,92 >> 1,4 mg/ml 6°C Защищён от света
36 Час
439
Уровень доказательности A +

Полиизопреновый эластомер Глюкоза 5% 0,2 & 0,5 mg/ml 4°C Защищён от света
10 День
604
Данные по стабльности от изготовителя


  Mentions Légales