Poslední aktualizace :
27/11/2025
Priešgrybelinis vaistas   Amphotericin B  
Įpurškimas
Aerozolis Akių lašai Geriamas tirpalas Skystis burnai skalauti
Tirpalų stabilumas Mišinių stabilumas Stabilumą lemiantys veiksniai Suderinamumas Leidimo būdai Bibliografija pdf
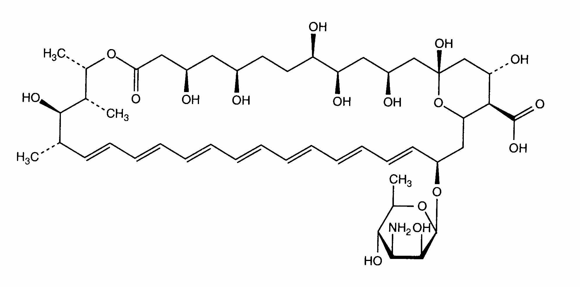
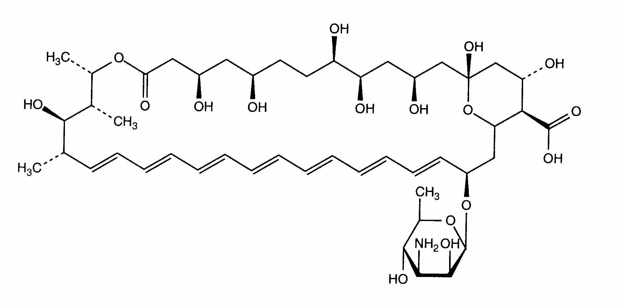
   Cheminė sandara  

Prekinis pavadinimas   Prekinis pavadinimas     

Trade names are indicative and excipients composition can be different depending on the country and manufacturers

Fungizone Airija, Danija, Didžioji Britanija, Graikija, Indija, Iranas, Italija, Jungtinės Amerikos Valstijos, Kanada, Kolumbija, Malaizija, Marokas, Naujojoje Zelandijoje, Olandija, Portugalija, Prancūzija, Suomija, Švedija, Šveicarija, Tunisas, Turkija, Venesuela, Vengrija, Vokietija
Tirpalų stabilumas   Įpurškimas   Tirpalų stabilumas : Amphotericin B     
Pakuotė Tirpiklis Koncentracija Temperatūra Laikymas Stabilumo trukmė Nuorodos
Polivinilchloridas Gliukozė 5% 0,05 & 0,5 mg/ml 23°C-25°C Ir šviesoje, ir tamsoje
24 Valanda
12
Bandymo lygis D

Polivinilchloridas Gliukozė 5% 0,1 mg/ml 15°C-25°C Apsaugotas nuo šviesos
24 Valanda
435
Bandymo lygis D

Polivinilchloridas Gliukozė 5% 0,1 mg/ml 4°C Apsaugotas nuo šviesos
15 Diena
1907
Bandymo lygis D

Polivinilchloridas Gliukozė 5% 0,1 & 0,25 mg/ml 4°C Apsaugotas nuo šviesos
35 Diena
436
Bandymo lygis A+

Polivinilchloridas Gliukozė 5% 0,2 & 0,5 mg/ml 25°C Šviesa
120 Valanda
283
Bandymo lygis C+

Polivinilchloridas Gliukozė 5% 0,2 & 0,5 & 1 mg/ml 4°C Apsaugotas nuo šviesos
120 Valanda
283
Bandymo lygis C+

Polivinilchloridas Gliukozė 10% 0,1 mg/ml 15°C-25°C Apsaugotas nuo šviesos
24 Valanda
435
Bandymo lygis D

Polivinilchloridas Gliukozė 15% 0,1 mg/ml 15°C-25°C Apsaugotas nuo šviesos
24 Valanda
435
Bandymo lygis D

Polivinilchloridas Gliukozė 20% 0,1 mg/ml 15°C-25°C Apsaugotas nuo šviesos
24 Valanda
435
Bandymo lygis D

Poliolefinas Gliukozė 5% 0,47 >> 0,75 mg/ml 25°C Šviesa
24 Valanda
497
Bandymo lygis C+

Poliolefinas Gliukozė 5% 0,92 >> 1,4 mg/ml 25°C Nenurodyta
36 Valanda
439
Bandymo lygis A+

Poliolefinas Gliukozė 5% 0,92 >> 1,4 mg/ml 6°C Apsaugotas nuo šviesos
36 Valanda
439
Bandymo lygis A+

Poliizopreno elastomeras Gliukozė 5% 0,2 & 0,5 mg/ml 4°C Apsaugotas nuo šviesos
10 Diena
604
Gamintojo stabilumo duomenys


  Mentions Légales