Viimeisin päivitys :
27/11/2025
Sienilääkkeet   Amphotericin B  
Injektioneste
Aerosoli Oraaliliuos Silmätipat Suuvesi
Stabilius liuoksessa Stabilius seoksissa Tekijät, jotka vaikuttavat stabiliuteen Yhteensopivuus Antotapa Viitteet pdf
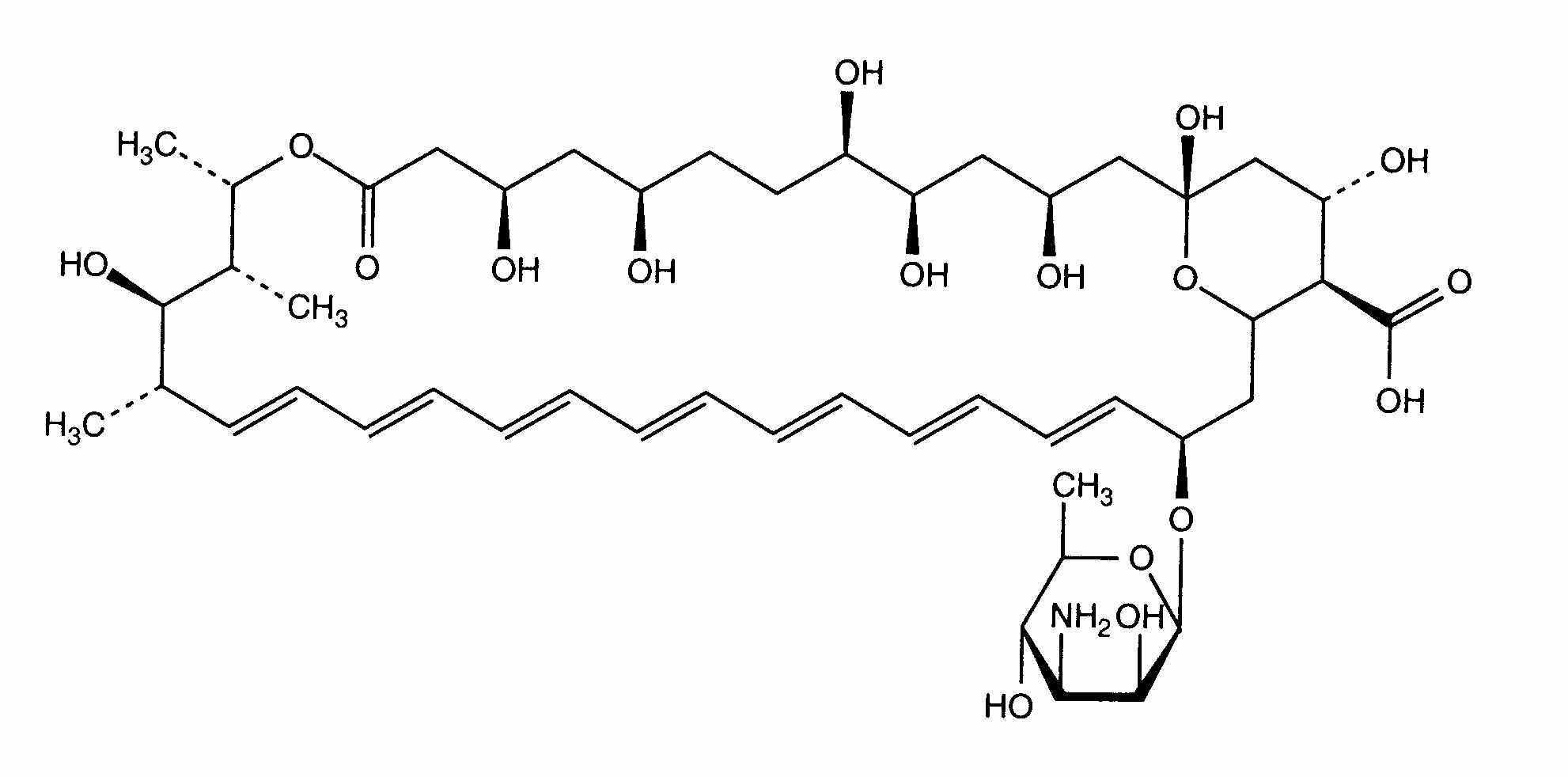
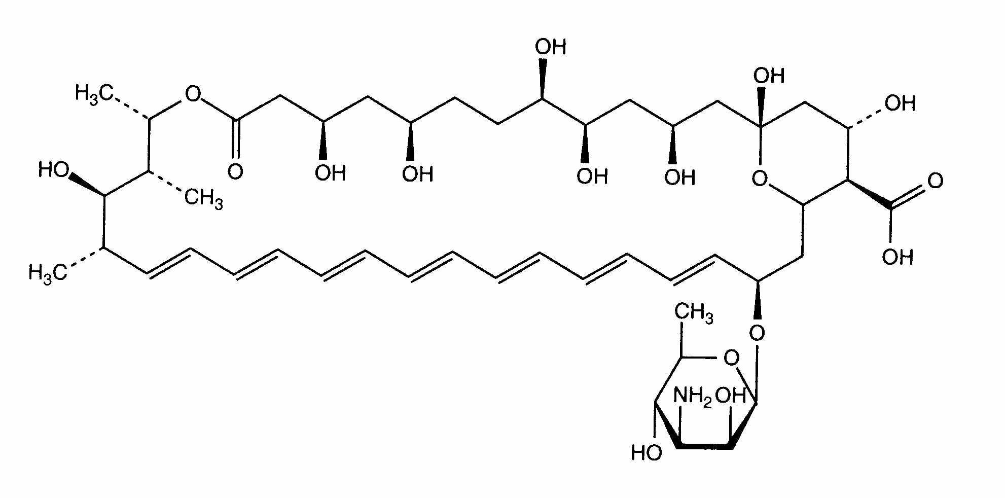
   Kemiallinen rakenne  

Kauppanimi   Kauppanimi     

Trade names are indicative and excipients composition can be different depending on the country and manufacturers

Fungizone Hollanti, Intia, Iran, Irlanti, Iso-Britannia, Italia, Kanada, Kolumbia, Kreikka, Malesia, Marokko, New Zealand, Portugali, Ranska, Ruotsi, Saksa, Suomi, Sveitsi, Tanska, Tunisia, Turkki, Unkari, Venezuela, Yhdysvallat
Stabilius liuoksessa   Injektioneste   Stabilius liuoksessa : Amphotericin B     
Astia Liuotin Konsentraatio Lämpötila Säilytys Vakauden kesto Viitteet
Polyvinyylikloridi Glukoosi 5% 0,05 & 0,5 mg/ml 23°C-25°C Valossa tai suojassa valolta
24 tunti
12
Näytön laajuus D

Polyvinyylikloridi Glukoosi 5% 0,1 mg/ml 15°C-25°C Suojattava valolta
24 tunti
435
Näytön laajuus D

Polyvinyylikloridi Glukoosi 5% 0,1 mg/ml 4°C Suojattava valolta
15 Päivä
1907
Näytön laajuus D

Polyvinyylikloridi Glukoosi 5% 0,1 & 0,25 mg/ml 4°C Suojattava valolta
35 Päivä
436
Näytön laajuus A+

Polyvinyylikloridi Glukoosi 5% 0,2 & 0,5 mg/ml 25°C Valo
120 tunti
283
Näytön laajuus C+

Polyvinyylikloridi Glukoosi 5% 0,2 & 0,5 & 1 mg/ml 4°C Suojattava valolta
120 tunti
283
Näytön laajuus C+

Polyvinyylikloridi Glukoosi 10% 0,1 mg/ml 15°C-25°C Suojattava valolta
24 tunti
435
Näytön laajuus D

Polyvinyylikloridi Glukoosi 15% 0,1 mg/ml 15°C-25°C Suojattava valolta
24 tunti
435
Näytön laajuus D

Polyvinyylikloridi Glukoosi 20% 0,1 mg/ml 15°C-25°C Suojattava valolta
24 tunti
435
Näytön laajuus D

Polyolefiini Glukoosi 5% 0,47 >> 0,75 mg/ml 25°C Valo
24 tunti
497
Näytön laajuus C+

Polyolefiini Glukoosi 5% 0,92 >> 1,4 mg/ml 25°C Ei määritetty
36 tunti
439
Näytön laajuus A+

Polyolefiini Glukoosi 5% 0,92 >> 1,4 mg/ml 6°C Suojattava valolta
36 tunti
439
Näytön laajuus A+

Polyisopreeni elastomeeri Glukoosi 5% 0,2 & 0,5 mg/ml 4°C Suojattava valolta
10 Päivä
604
Valmistajan antamat stabiiliustiedot


  Mentions Légales