Zadnji put ažurirano :
18/03/2026
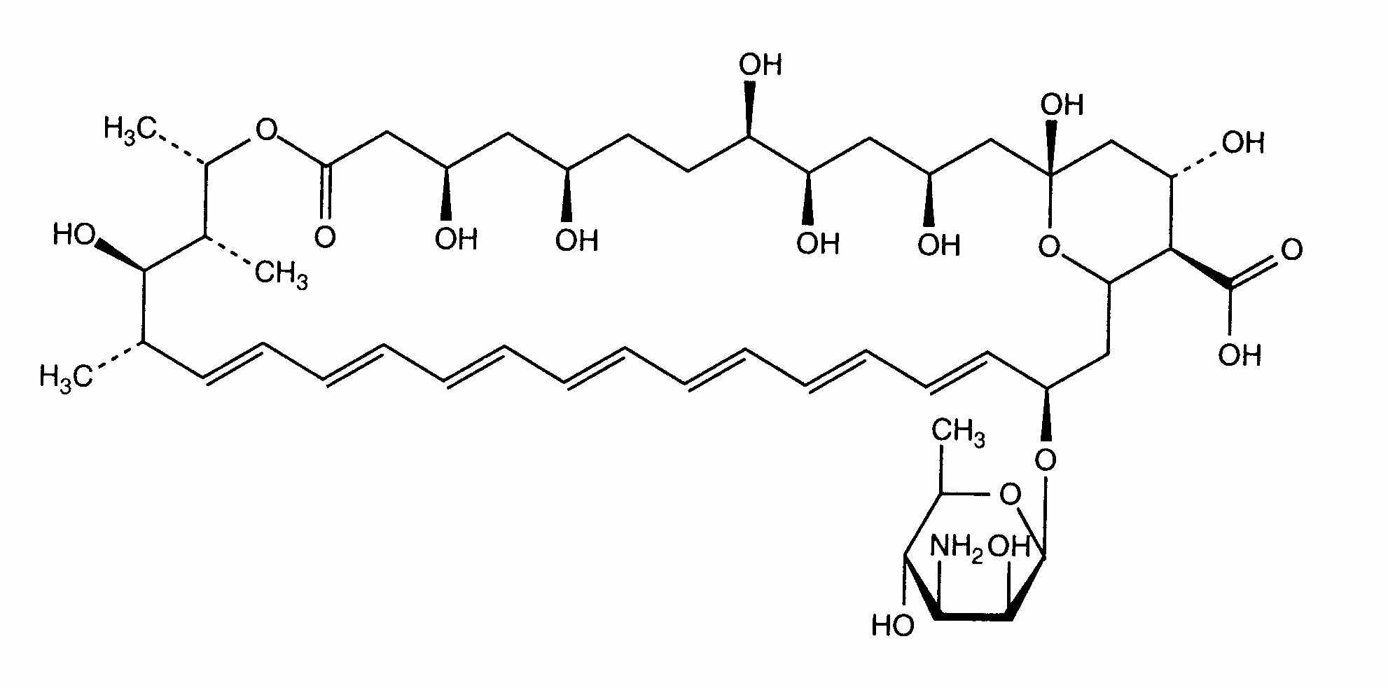
antifungicid   Amphotericin B  
injekcija
aerosol kapi za oko oralna otopina  otopina za ispiranje usne šupljine
Stabilizacija rješenja Stabilnost mješavine Stabilizacijski faktor Kompatibilnosti način davanja lijeka Bibliografija pdf
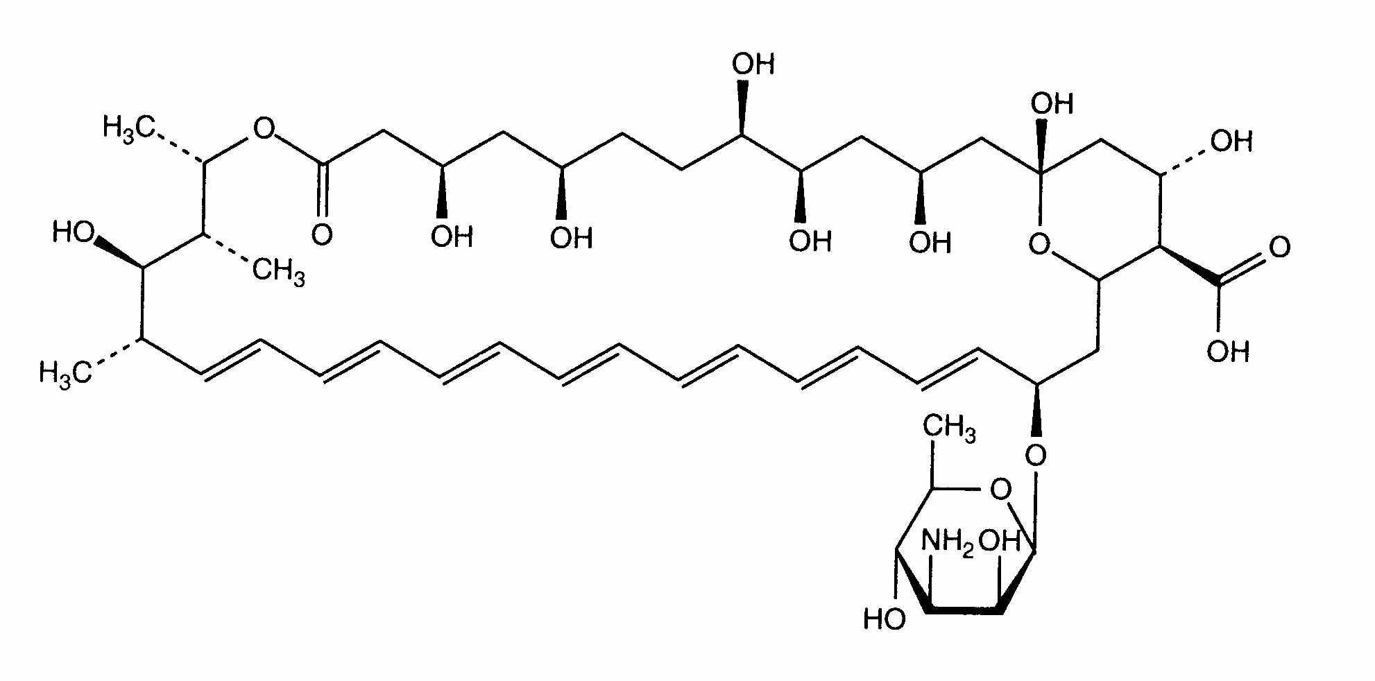
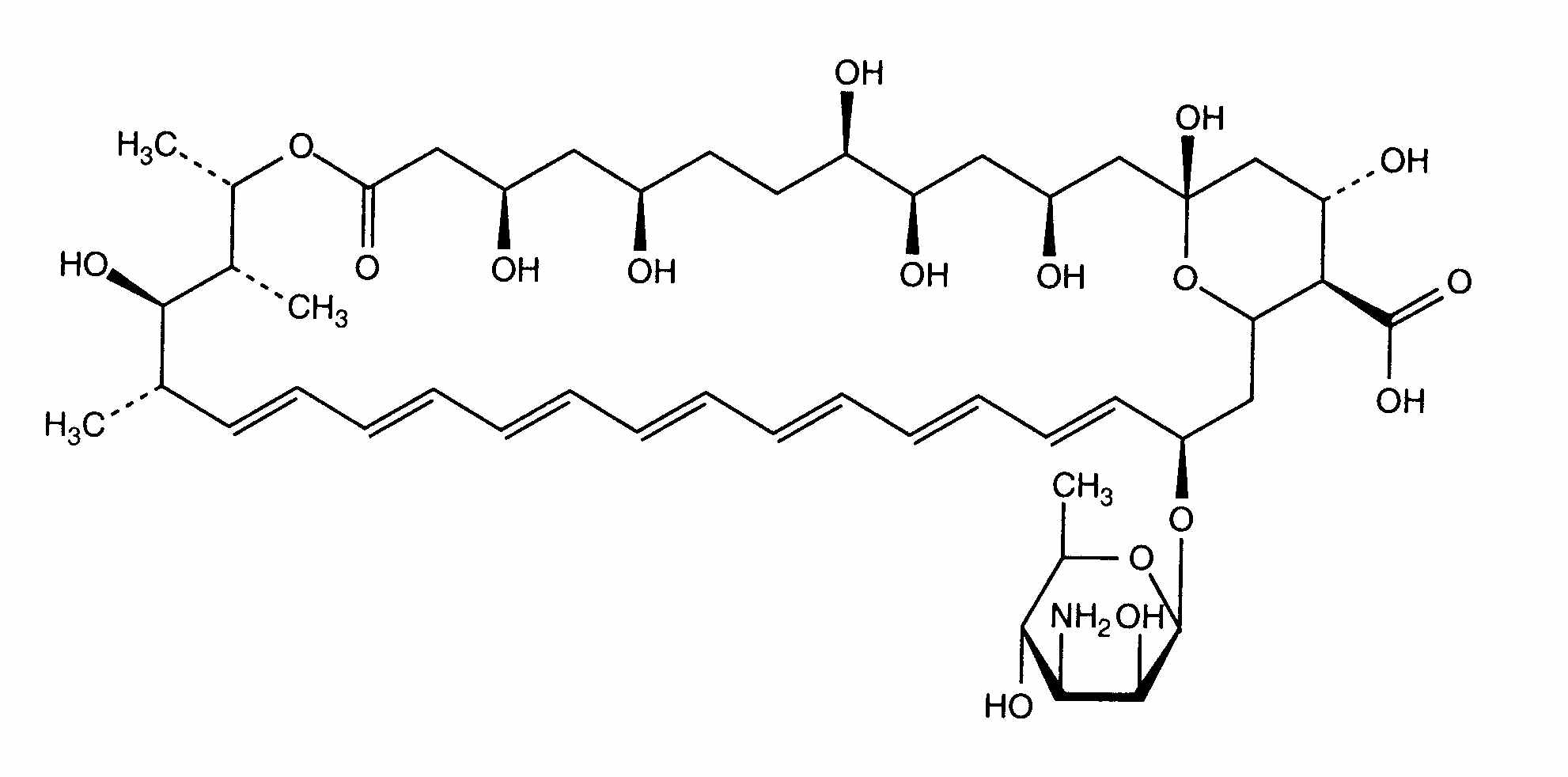
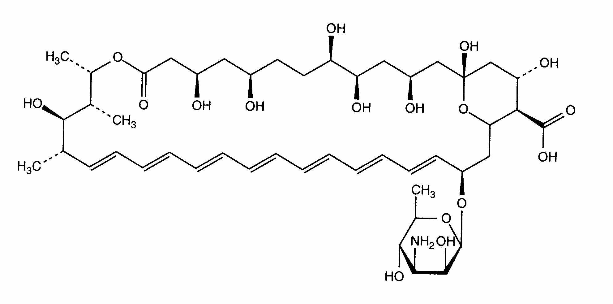
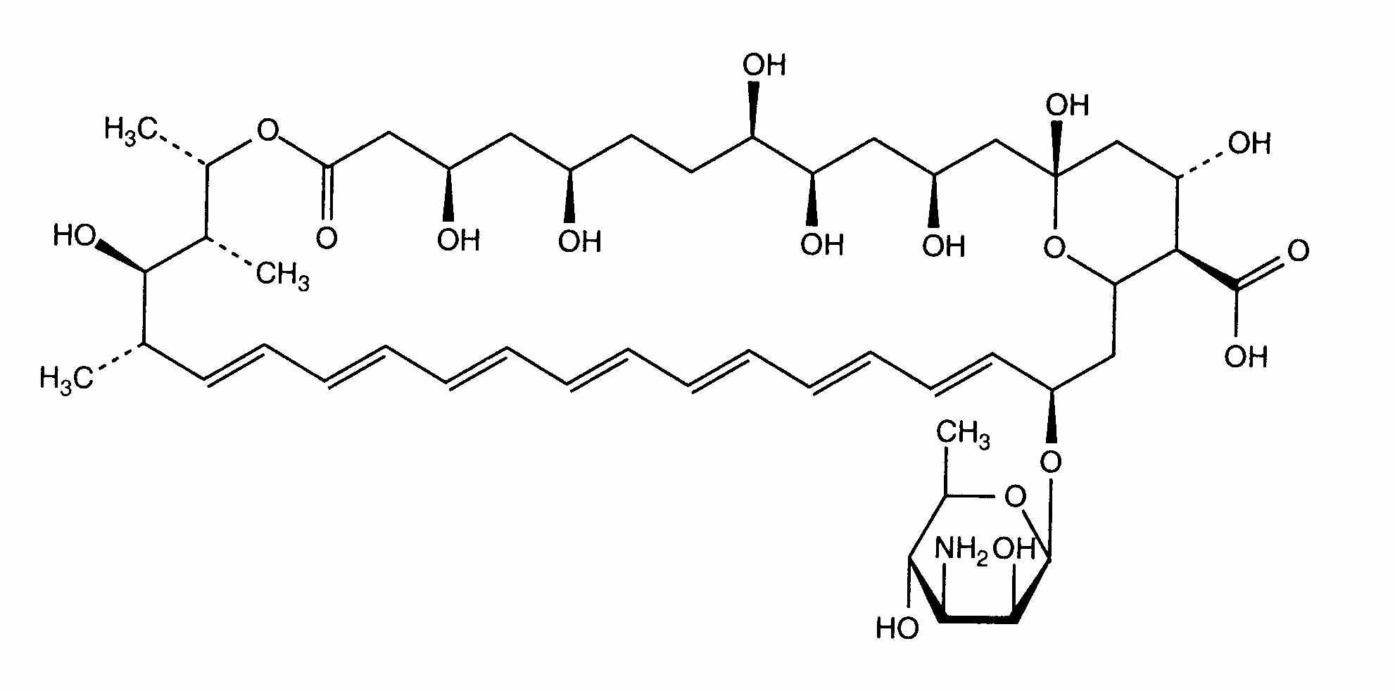
   Kemijska struktura  

Nekomercijalni   Nekomercijalni     

Zaštićeni nazivi su indikativni i sastav ekscipijensa može biti različit ovisno o državi i laboratorijima

Fungizone Indija, Danska, Finska, Francuska, Grčka, Iran, Irska, Italija, Kanada, Kolumbija, Madžarska, Malezija, Maroko, Nizozemska, Njemačka, novi Zeland, Portugal, S A D, Švedska, Švicarska, Tunis, Turska, Velika Britanija, Venecuela

Stabilizacijski faktor   injekcija   Stabilizacijski faktor : Amphotericin B        

  Mentions Légales