Seneste opdatering :
18/03/2026
Antisvampe   Amphotericin B  
Injektion
Aerosol Mundskyllevæske Oral opløsning Øjendråber
Stabilitet i (vandige) opløsninger Stabilitet i blandinger Faktorer der påvirker stabiliteten Kompatibilitet Administrationsvej Bibliografi pdf
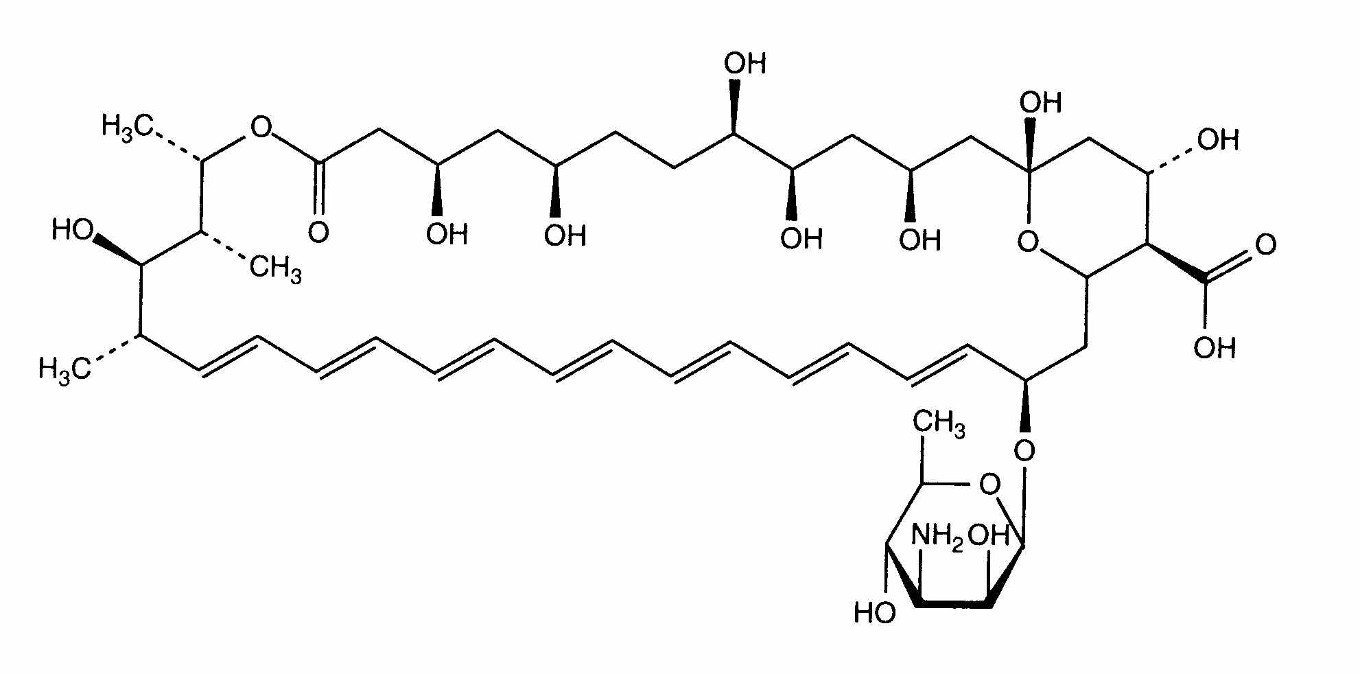
   Kemisk struktur  

Handelsnavn   Handelsnavn     

Handel navne er vejledende og hjælpestoffer sammensætning kan være forskellig afhængigt af landet og laboratorier

Fungizone Canada, Colombia, Danmark, Finland, Frankrig, Grækenland, Holland, Indien, Iran, Irland, Italien, Malaysia, Marokko, New Zealand, Portugal, Schweiz, Storbritanien, Sverige, Tunesien, Tyrkiet, Tyskland, Ungarn, USA, Venezuela

Faktorer der påvirker stabiliteten   Injektion   Faktorer der påvirker stabiliteten : Amphotericin B        

  Mentions Légales