Last update :
18/03/2026
Antifungal   Amphotericin B  
injection
aerosol Eye-drops Mouthwash Oral solution
Stability in solutions Stability of mixtures Factors which affect stability Compatibility Route of administration References pdf
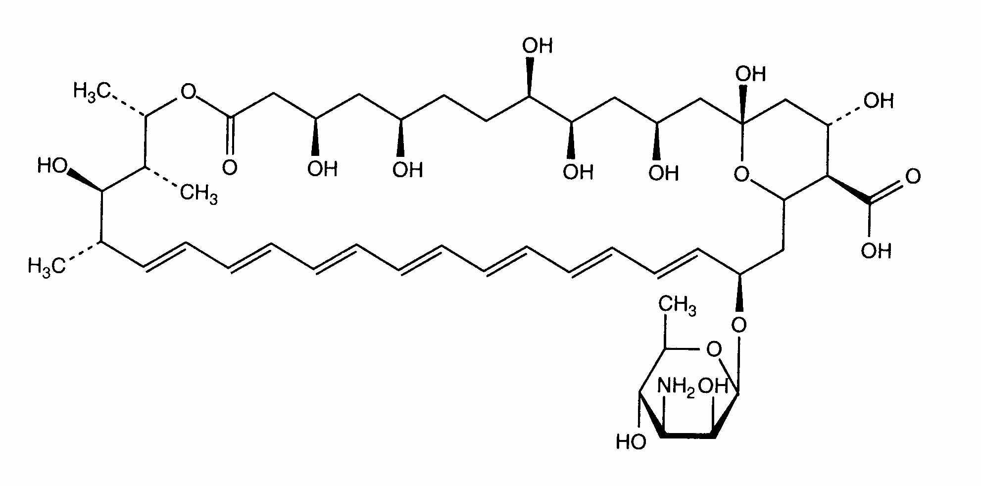
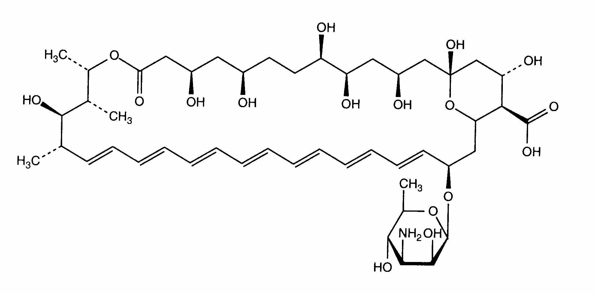
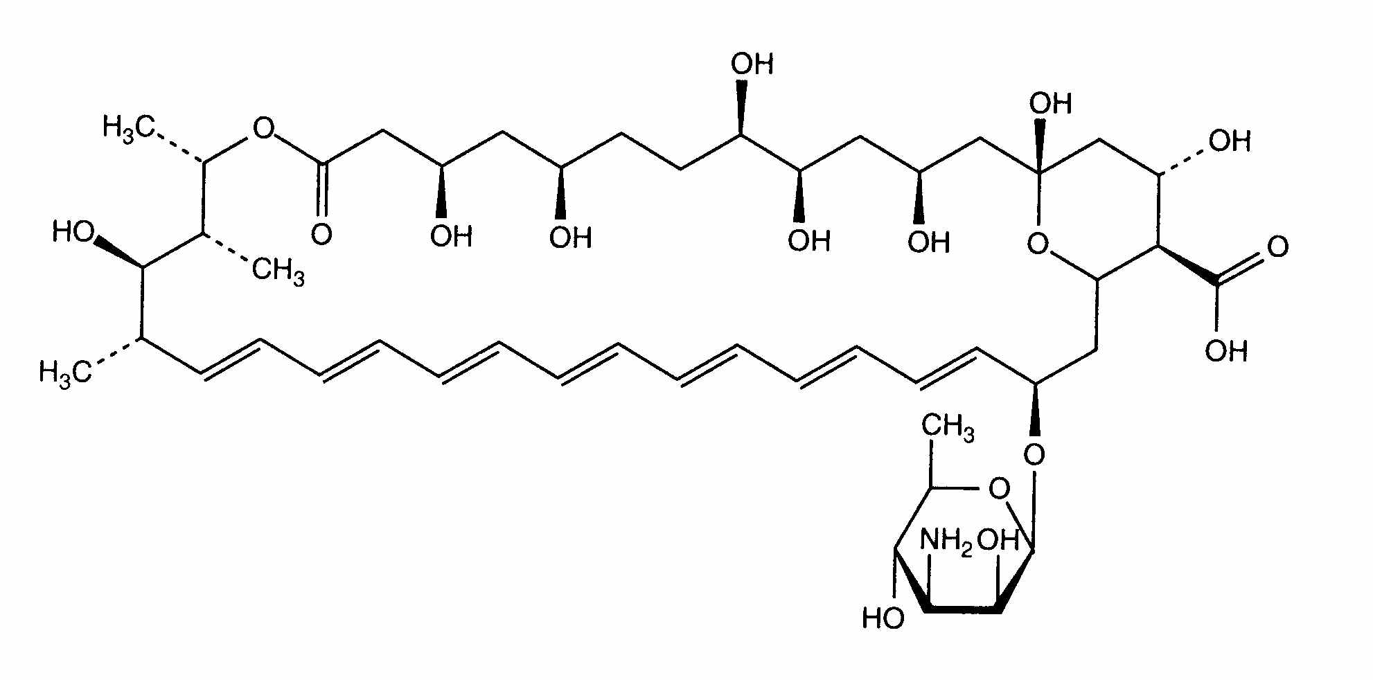
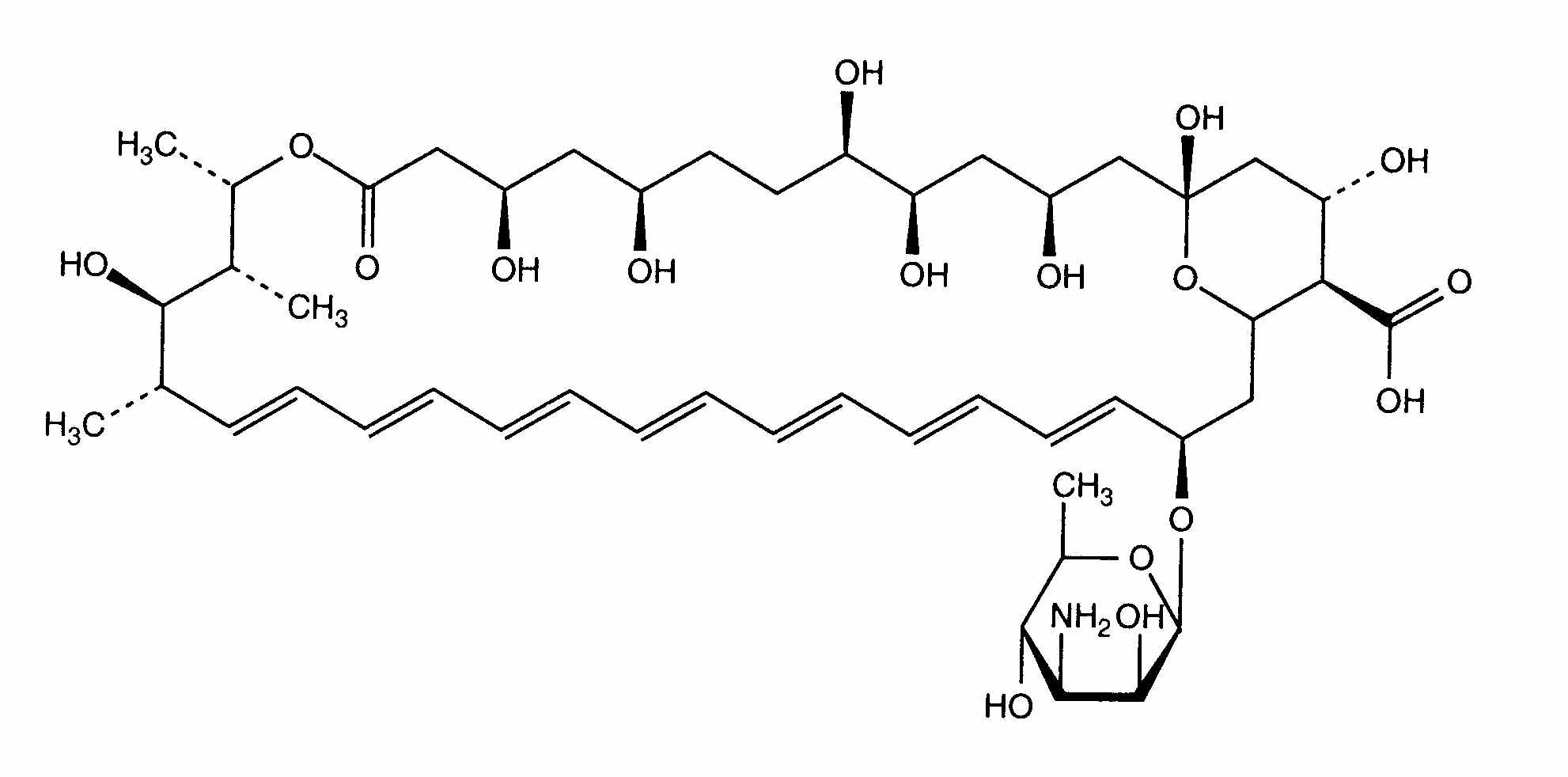
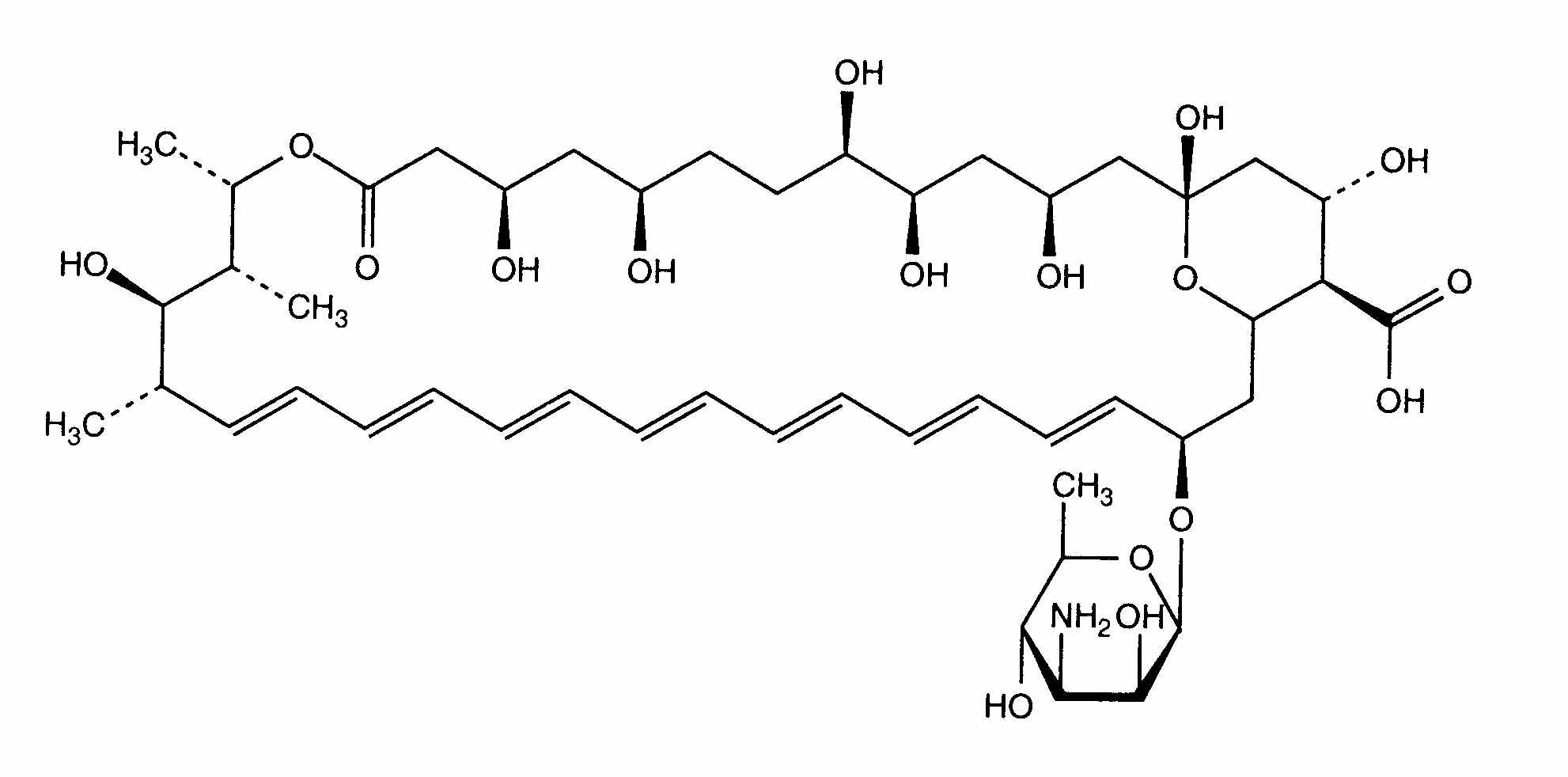
   Chemical structure  

Tradename   Tradename     

Trade names are indicative and excipients composition can be different depending on the country and manufacturers

Fungizone Canada, Colombia, Denmark, Finland, France, Germany, Great Britain, Greece, Hungary, India, Iran, Ireland, Italy, Malaysia, Morocco, Netherlands, New Zealand, Portugal, Sweden, Switzerland, Tunisia, Turkey, United States of America, Venezuela

Factors which affect stability   injection   Factors which affect stability : Amphotericin B        

  Mentions Légales