fermer
最新更新 :
17/12/2025
Infostab
药品清单
简要表
搜索兼容性
Y 站点兼容性表
引用文献
研究小組
valistab
海报
鏈接
贊助商
作者
使用指南
时讯
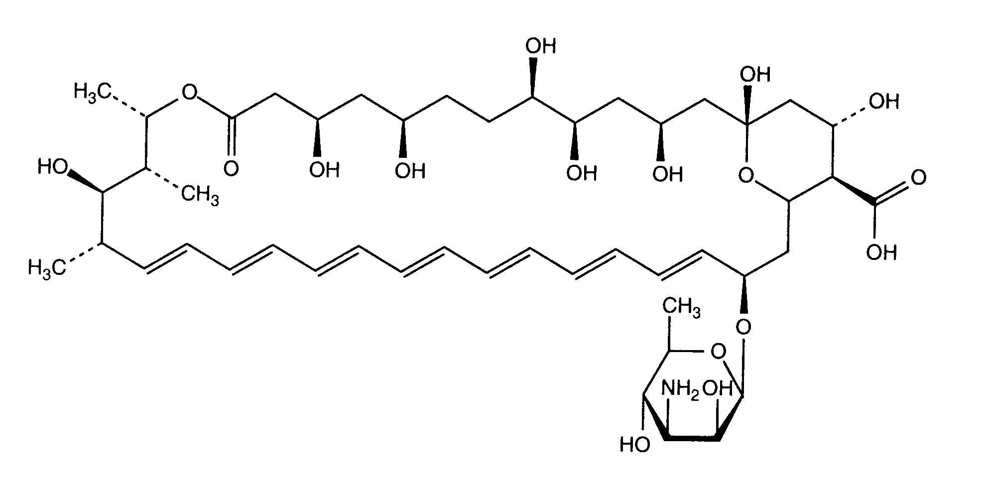
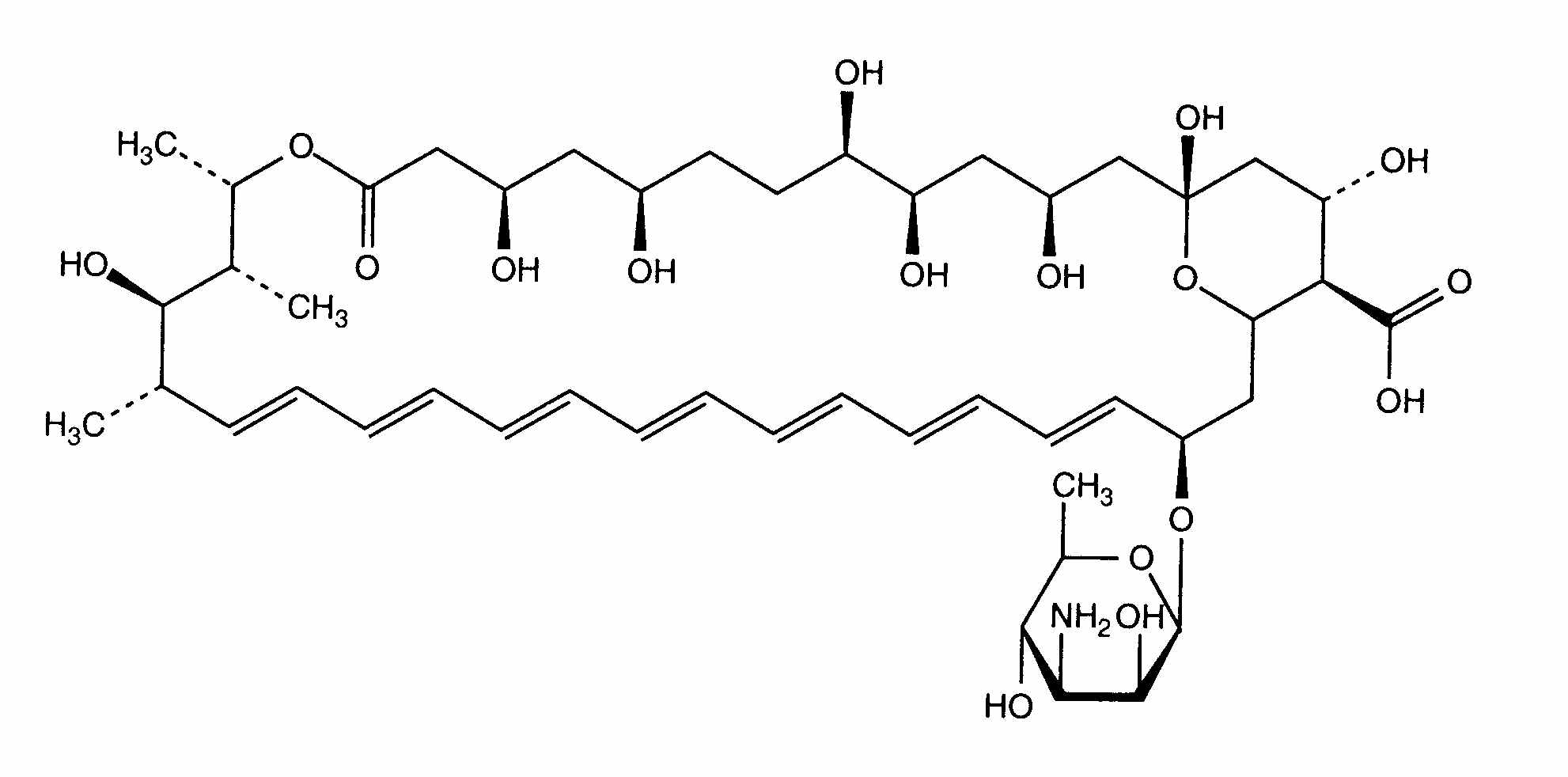
Amphotericin B
化学式
商品名
商品名仅供参考, 药品所用的辅料可能依国家或厂商不同有所不同。
Fungizone
丹麦, 伊朗, 加拿大, 匈牙利, 印度, 哥伦比亚, 土耳其, 委内瑞拉, 希腊, 德国, 意大利, 摩洛哥, 新西蘭, 法国, 爱尔兰, 瑞典, 瑞士, 突尼斯, 美国, 芬兰, 英国, 荷兰, 葡萄牙, 马来西亚
影响稳定性的因素 : Amphotericin B
892
1172
3591
1172
3968
265
270
793
984
1498
2043
301
3591
[ 0.05 mg/ml ]
3869
Mentions Légales