Τελευταία ενημέρωση :
18/03/2026
Αντιμυκητικό   Amphotericin B  
Ενέσιμο
Αεροζόλ Οφθαλμικές σταγόνες Πόσιμο διάλυμα Στοματικό διάλυμα
Σταθερότητα διαλυμάτων Σταθερότητα σε μίγματα Παράγοντας που επηρεάζει τη σταθερότητα Συμβατότητες Τρόπος χορήγησης Βιβλιογραφία pdf
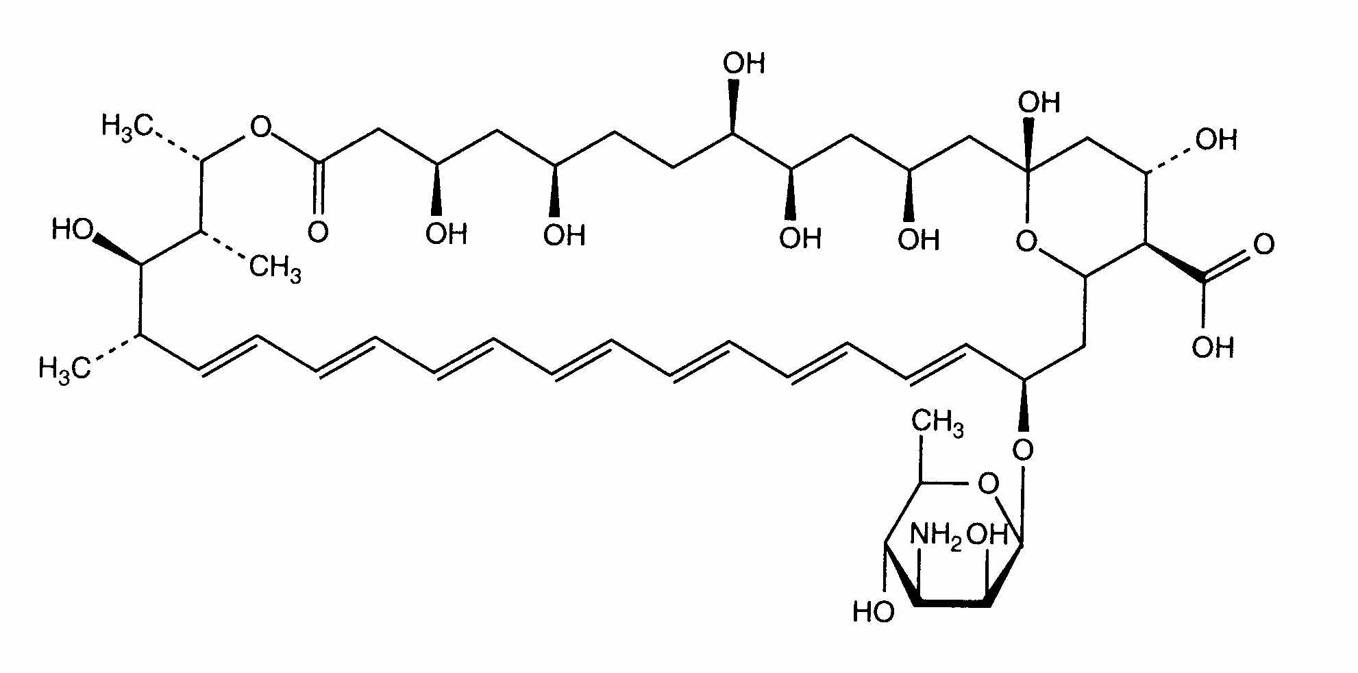
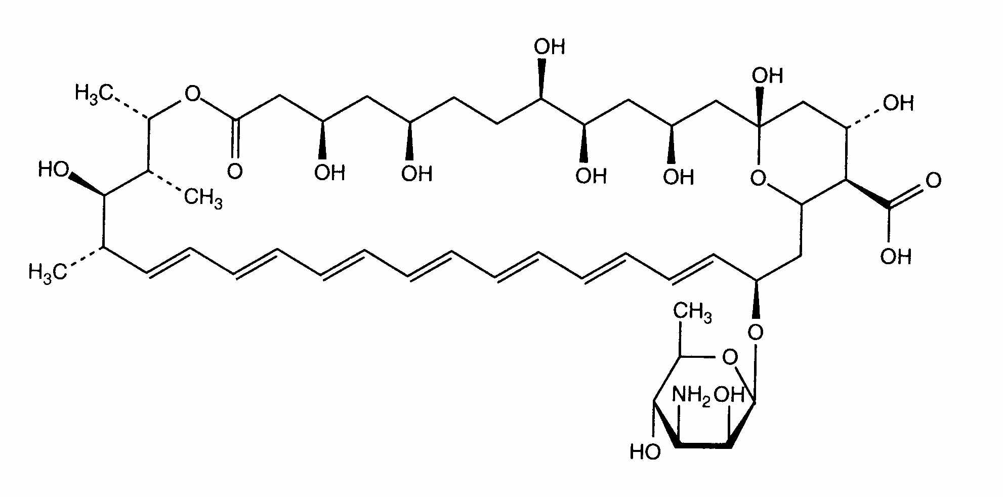
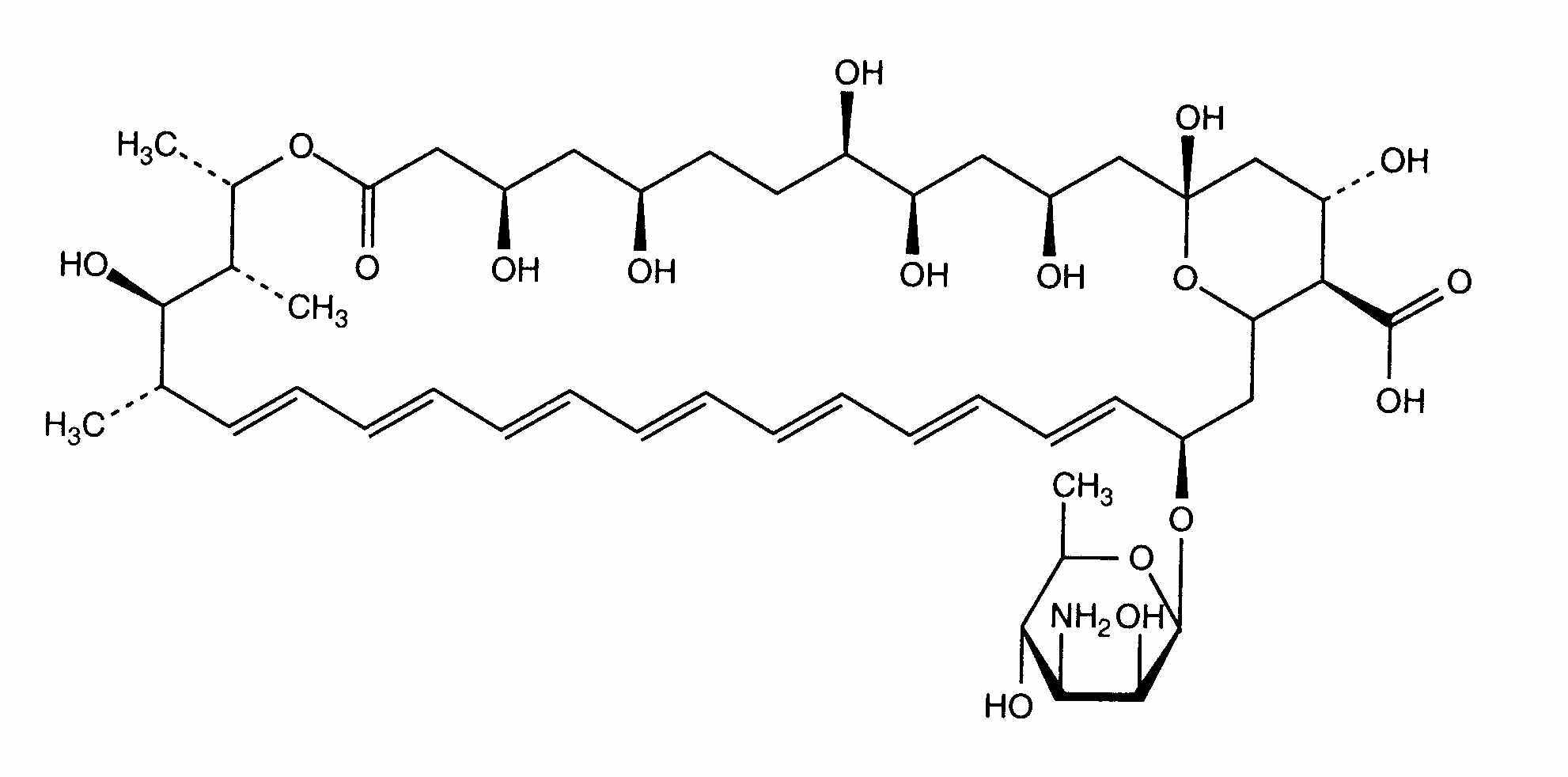
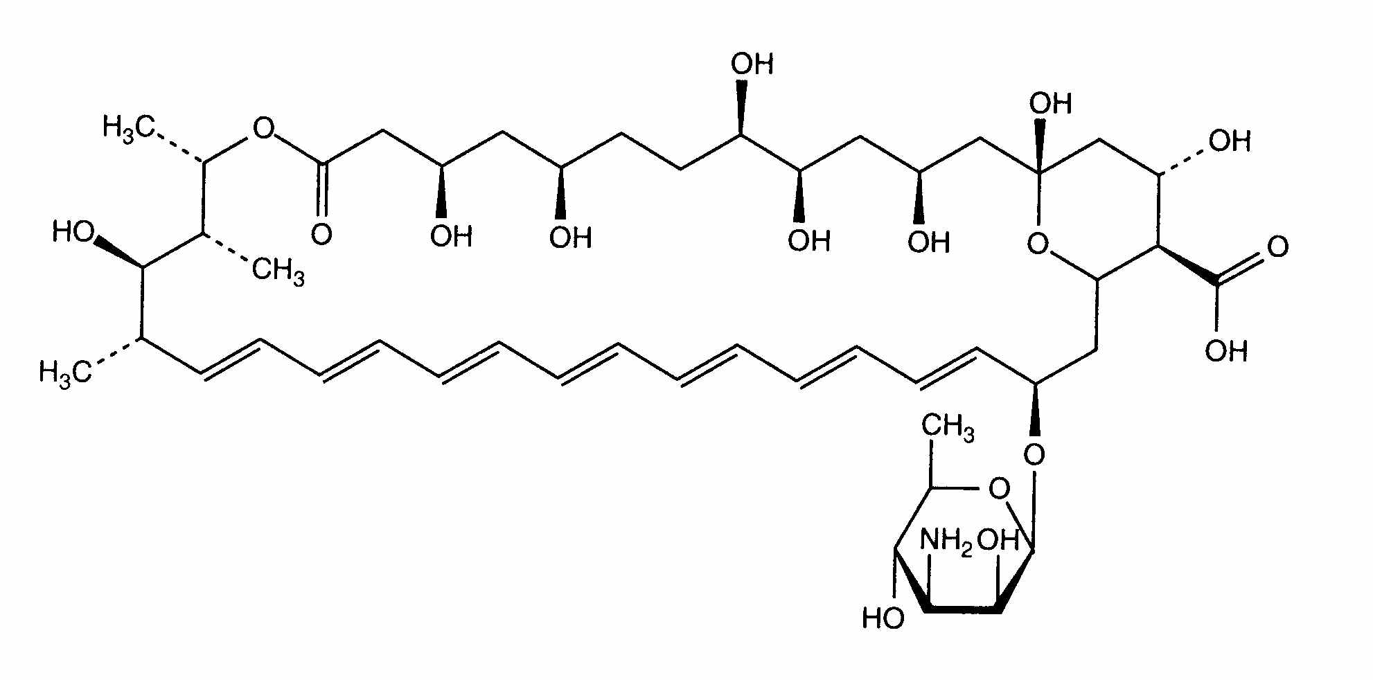
   χημική δομή  

Εμπορική ονομασία   Εμπορική ονομασία     

Οι εμπορικές ονομασίες είναι ενδεικτικές και η σύνθεση των εκδόχων μπορεί να διαφέρει ανάλογα με τη χώρα και τα εργαστήρια

Fungizone Βενεζουέλα, Γαλλία, Γερμανία, Δανία, Ελβετία, Ελλάδα, Η.Π.Α., Ινδία, Ιράν, Ιρλανδία, Ιταλία, Καναδάς, Κολομβία, Μαλαισία, Μαρόκο, Μεγάλη Βρετανία, νέα Ζηλανδία, Ολλανδία, Ουγγαρία, Πορτογαλία, Σουηδία, Τουρκία, Τυνησία, Φινλανδία

Παράγοντας που επηρεάζει τη σταθερότητα   Ενέσιμο   Παράγοντας που επηρεάζει τη σταθερότητα : Amphotericin B        

  Mentions Légales