Siste oppdatering :
18/03/2026
Vitamin   Phytomenadione  
Mikstur
Injeksjon
Stabilitet av farmasøytiske preparater Stabilitet i blandinger Faktorer som påvirker stabiliteten Kompatibilitet Referanser pdf
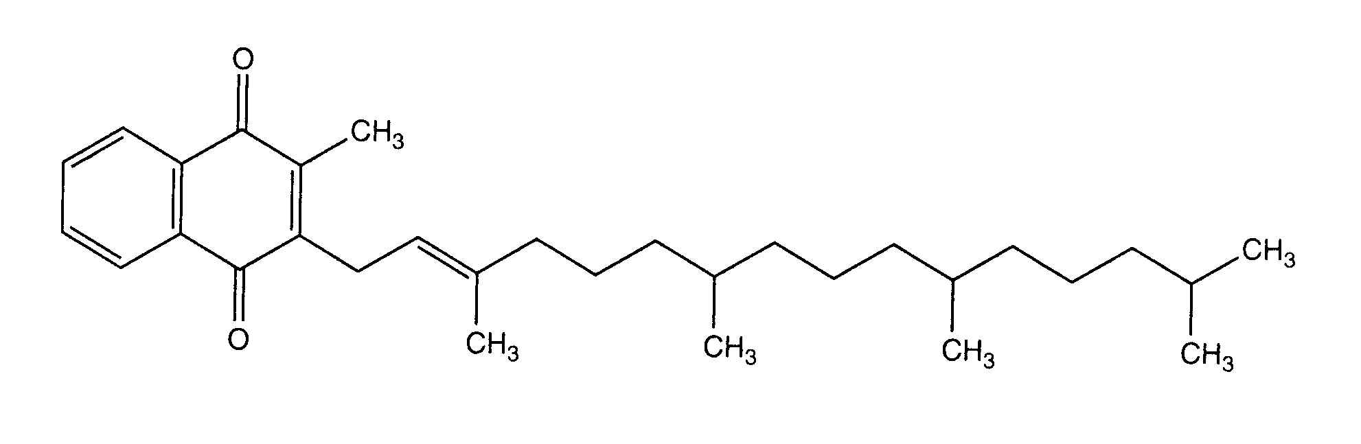
   Kjemisk struktur  

Mikstur
Kompatibilitet   Mikstur   Kompatibilitet : Phytomenadione              
Ingen opplysninger

  Mentions Légales