Dernière mise à jour :
17/12/2025
Vitamine   Phytomenadione  
Solution buvable
injectable
Stabilité des préparations Stabilité en mélange Facteur influençant la stabilité Compatibilités Bibliographie pdf
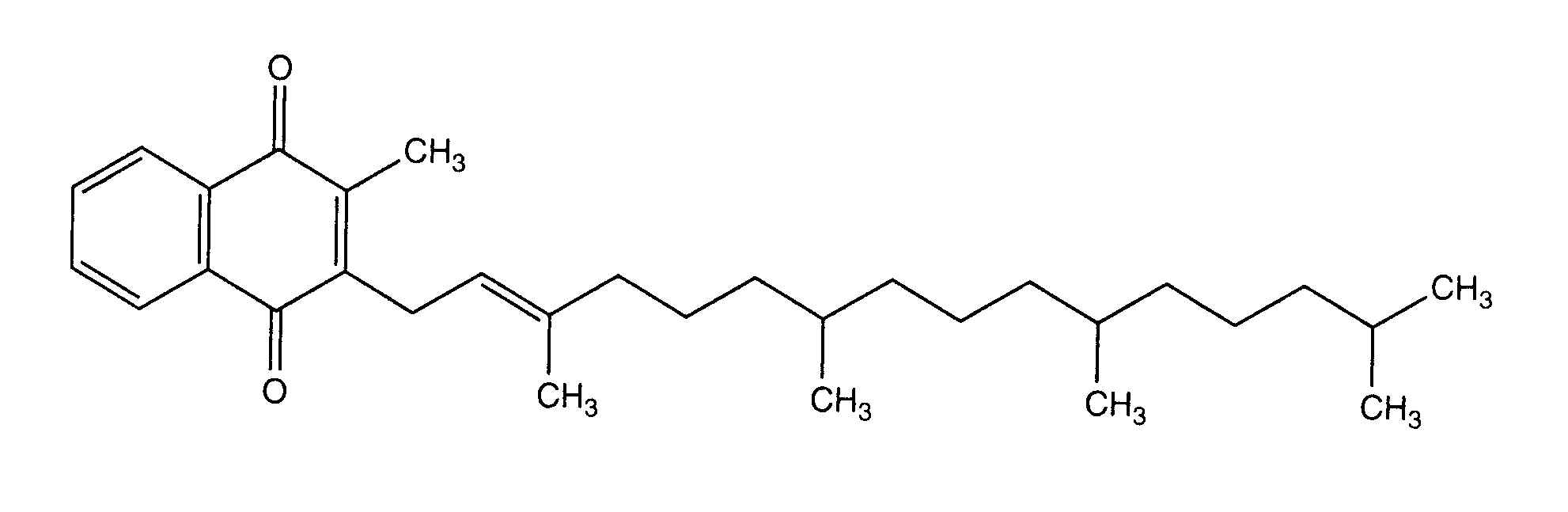
   Structure chimique  

Solution buvable
Bibliographie   Solution buvable   Bibliographie : Phytomenadione  
Type Source
2697 Revue Sewell GJ, Palmer AJ.
The formulation and stability of a unit-dose oral vitamin K1 preparation.
J Clin Pharm Ther 1988 ; 13, 1: 73-76.
4140 Revue Huffman J, Brown S, Lewis P, Lawson S, Ogle A, Peacock G.
Comparative Stability of Vitamin K1 Oral Liquids Prepared in Sterile Water for Injection and Stored in Amber Glass Bottles and Amber Plastic Syringes.
Int J Pharm Compound 2018 ;22,4:340-344
4317 Revue Lawson S, Lewis P, Peacock G, Brown S.
Comparative Stability of Oral Vitamin K Liquids Stored in Refrigerated Amber Plastic Syringes.
J Pharm Technol 2019 ;35,3:105-109

  Mentions Légales