Poslední aktualizace :
18/03/2026
Vitaminas   Phytomenadione  
Geriamas tirpalas
Įpurškimas
Stabilumas farmacinių preparatų Mišinių stabilumas Stabilumą lemiantys veiksniai Suderinamumas Bibliografija pdf
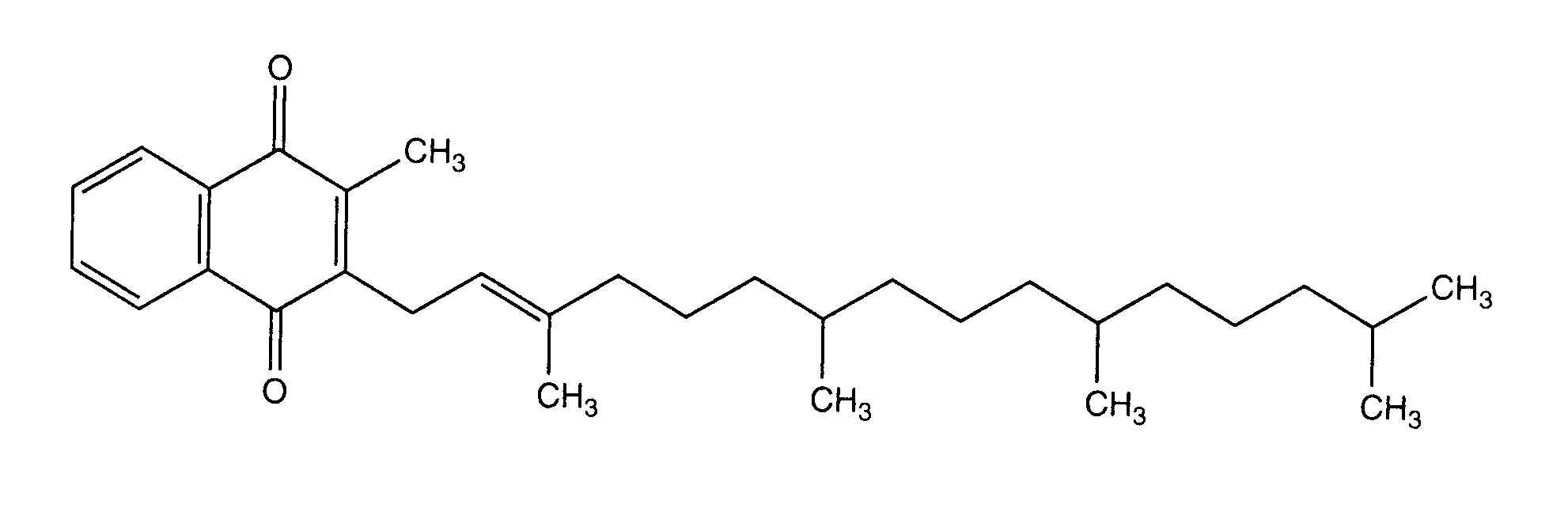
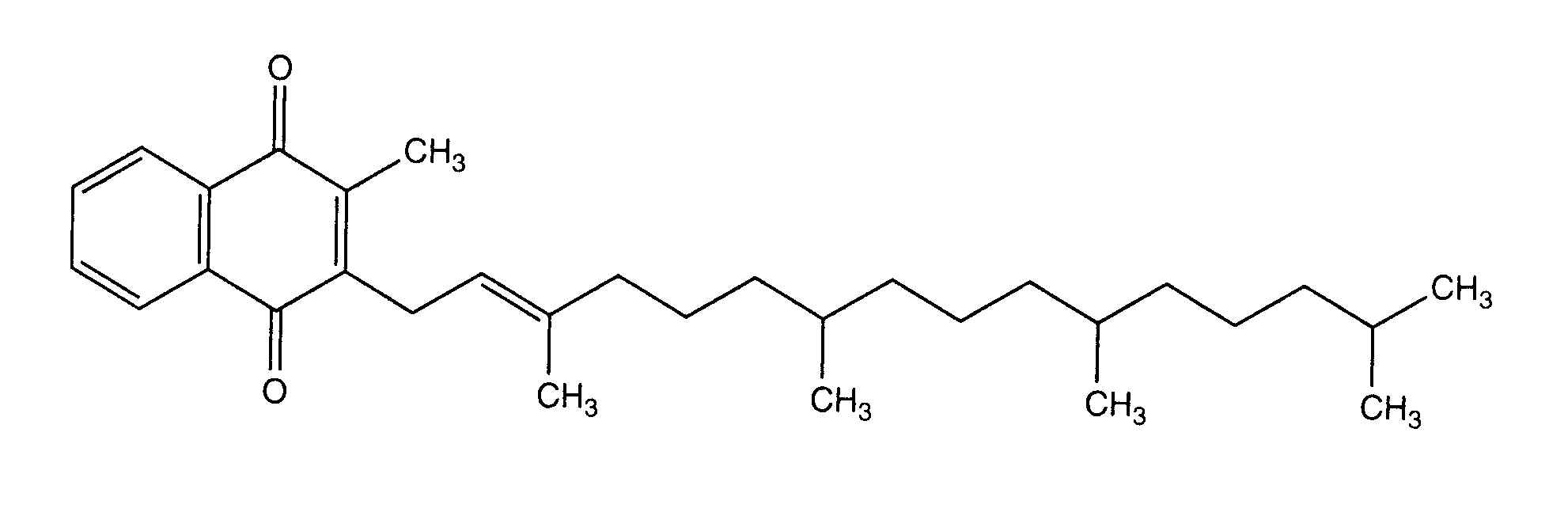
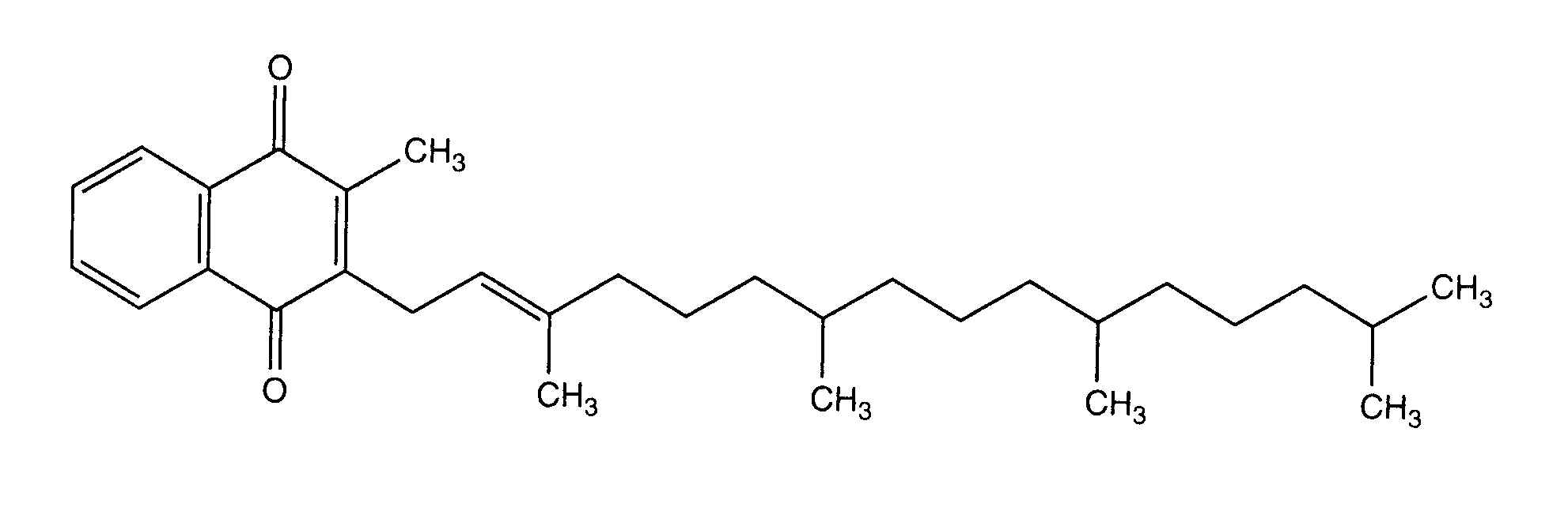
   Cheminė sandara  

Geriamas tirpalas
Suderinamumas   Geriamas tirpalas   Suderinamumas : Phytomenadione              
Nėra duomenų

  Mentions Légales