Ultimo aggiornamento :
18/03/2026
Vitamina   Phytomenadione  
Soluzione orale
Iniezione
Stabilità dei preparati farmaceutici Stabilità in miscela Fattori che influenzano la stabilità Compatibilità Bibliografia pdf
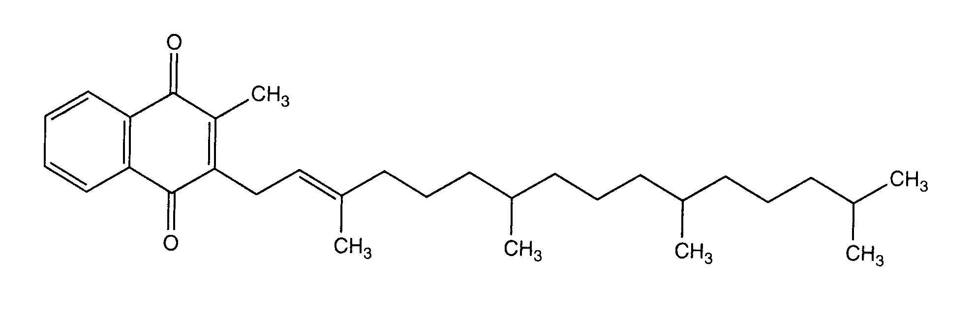
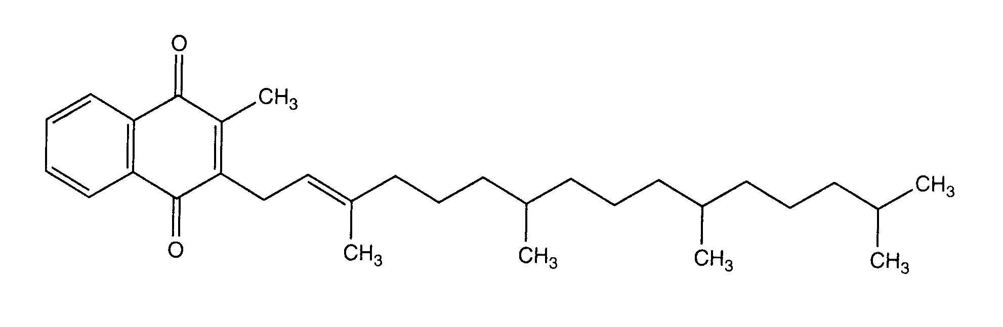
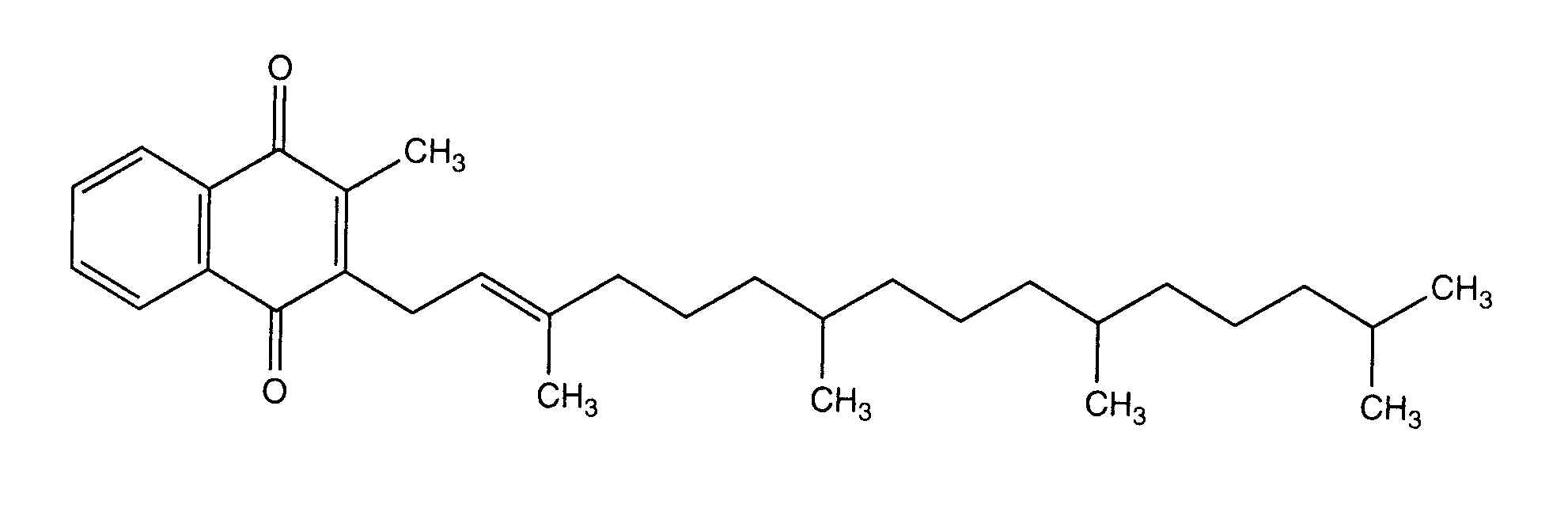
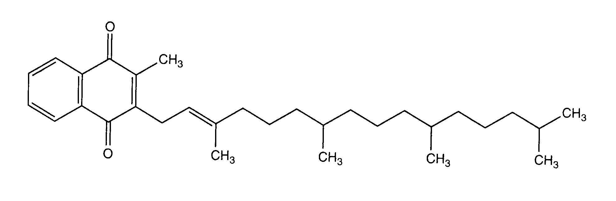
   Struttura chimica  

Soluzione orale
Compatibilità   Soluzione orale   Compatibilità : Phytomenadione              
Assenza di dati

  Mentions Légales