Последно актуализиране :
18/03/2026
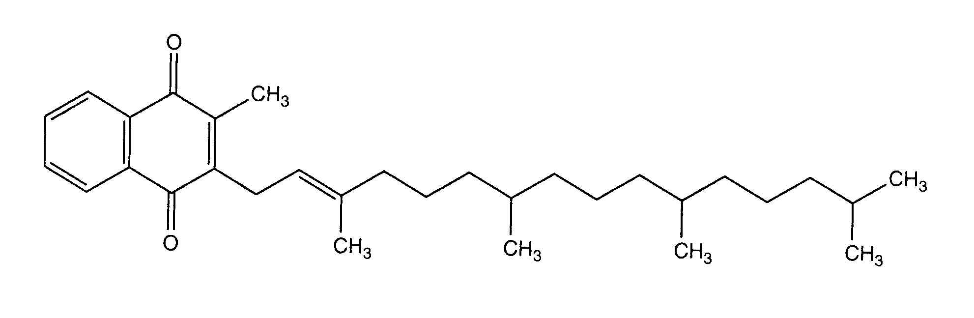
Витамин   Phytomenadione  
Орален разтвор
Инжекция/Инжекционен
Стабилност на лекарствени препарати Стабилност на смеси Фактори, повлияващи стабилността Съвместимост Библиография Pdf
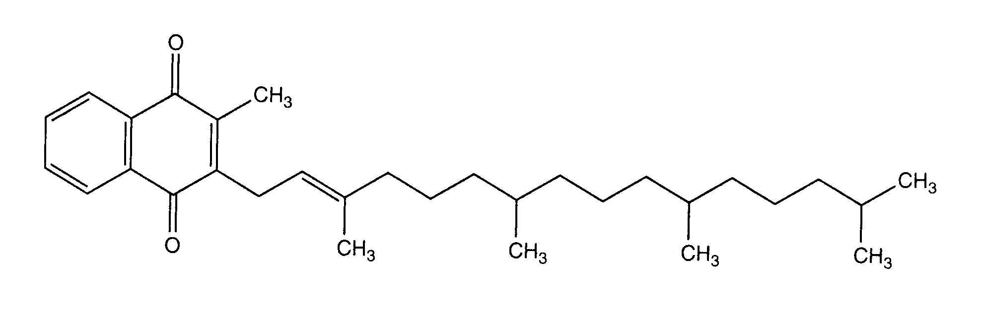
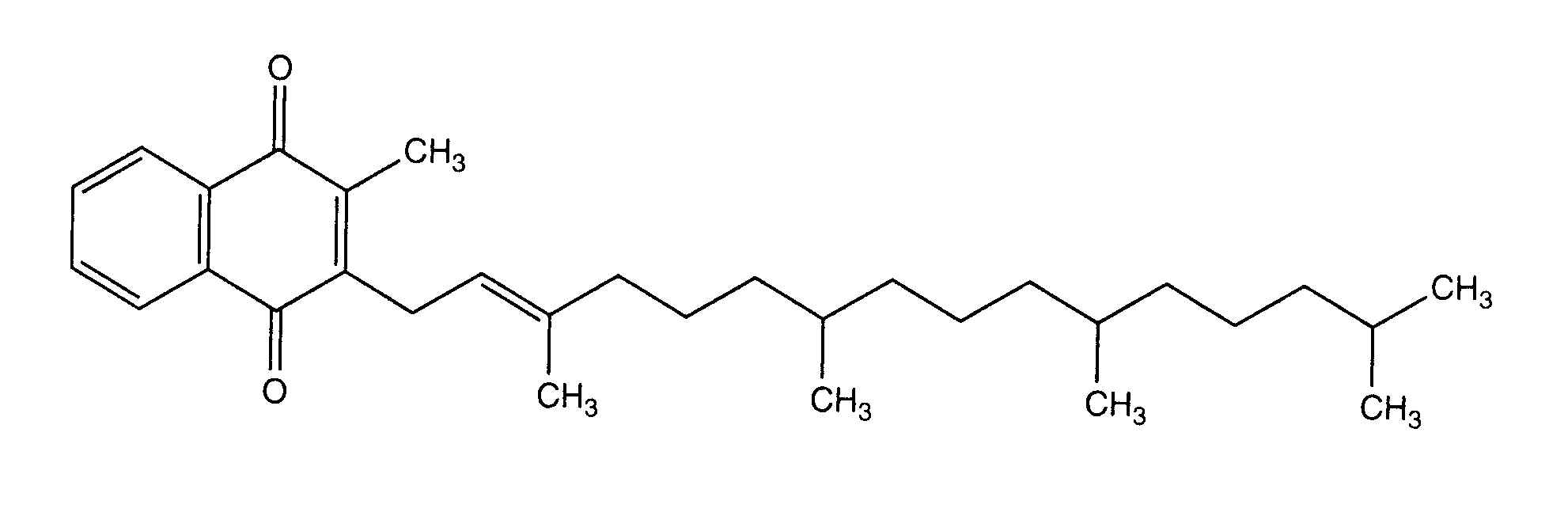
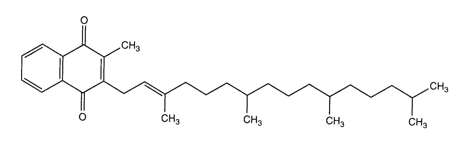
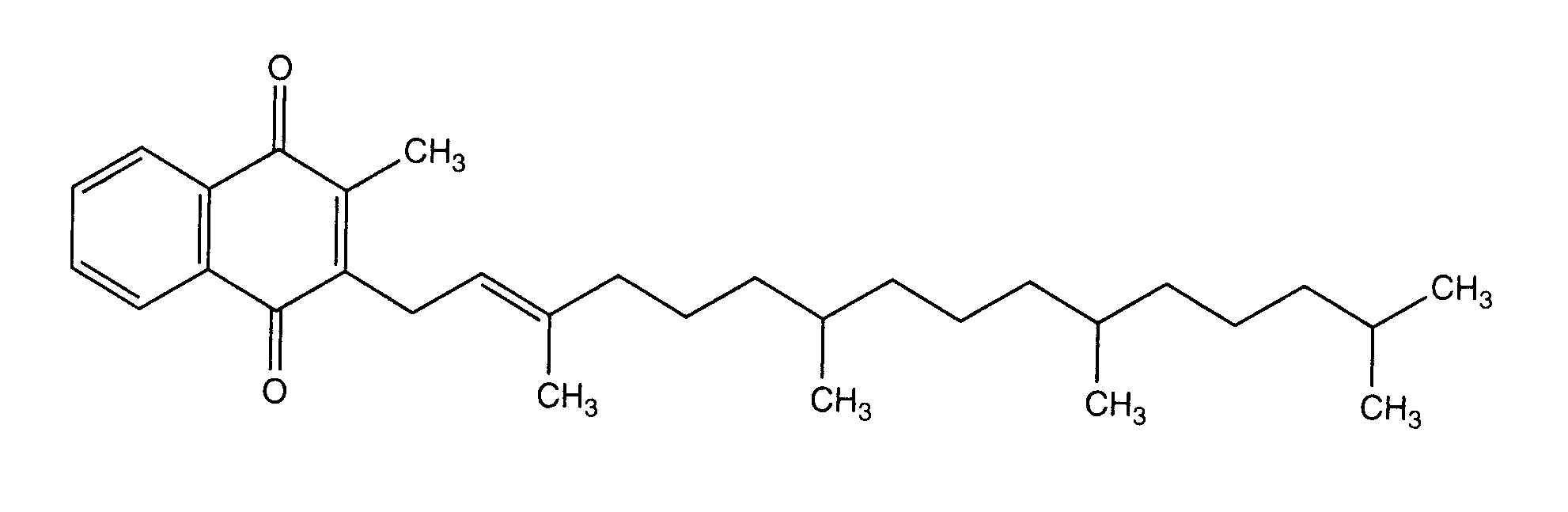
   Химична структура  

Орален разтвор
Съвместимост   Орален разтвор   Съвместимост : Phytomenadione              
Няма данни

  Mentions Légales