Letztes “update” :
18/03/2026
Vitamin   Phytomenadione  
Lösung zum Einnehmen
Injektion
Stabilität von pharmazeutischen Präparaten Gemengestabilität Stabilitätbeeinflussende Faktoren Kompatibilitäten Literaturverzeichnis pdf
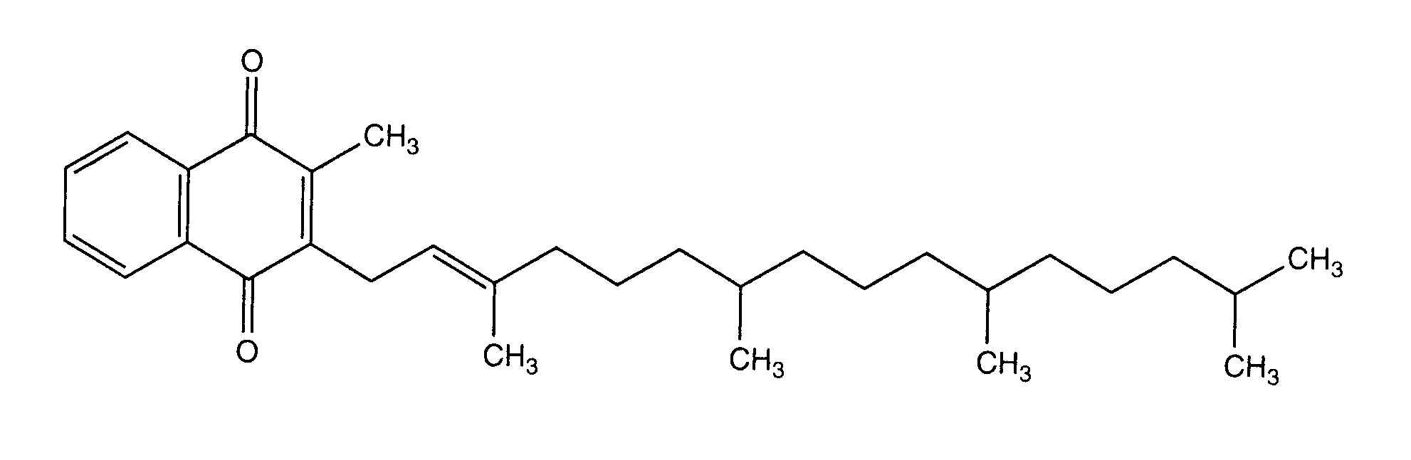
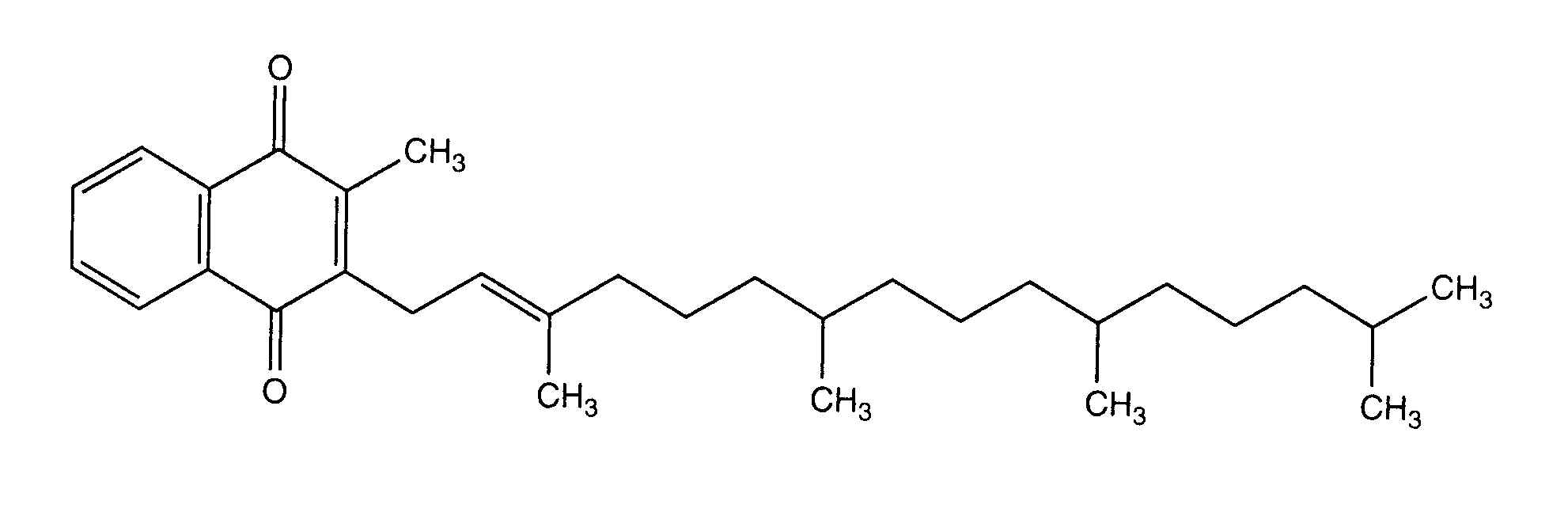
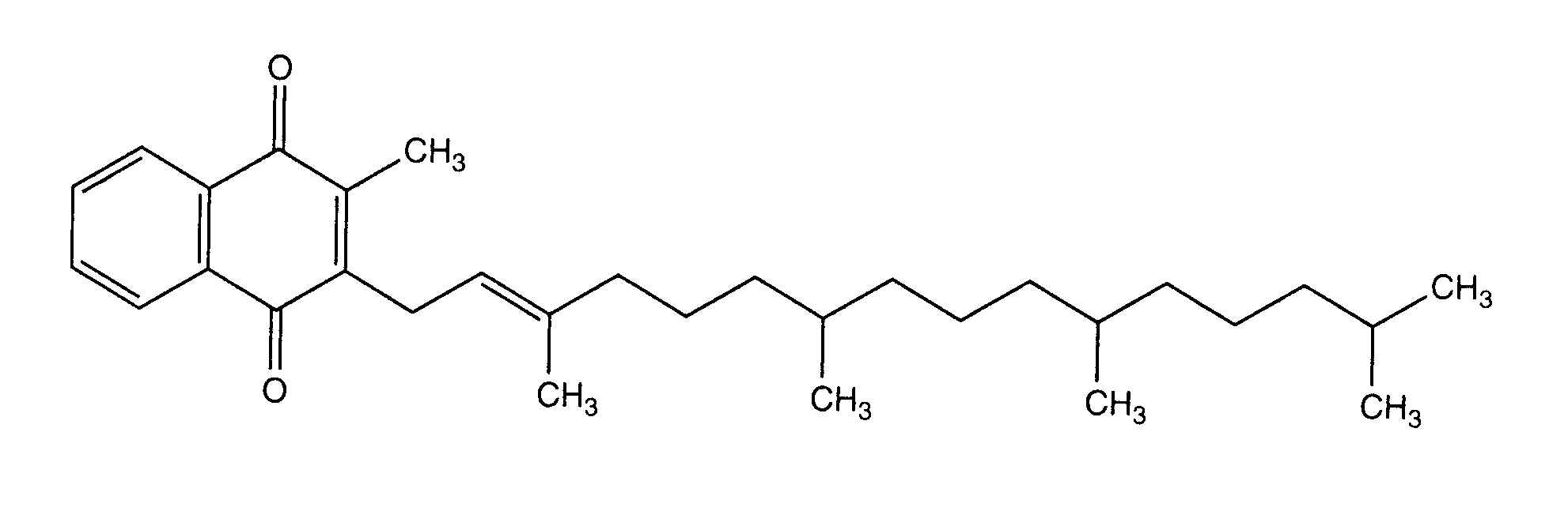
   Chemische Struktur  

Lösung zum Einnehmen
Kompatibilitäten   Lösung zum Einnehmen   Kompatibilitäten : Phytomenadione              
Keine Daten

  Mentions Légales