viimane versioon :
18/03/2026
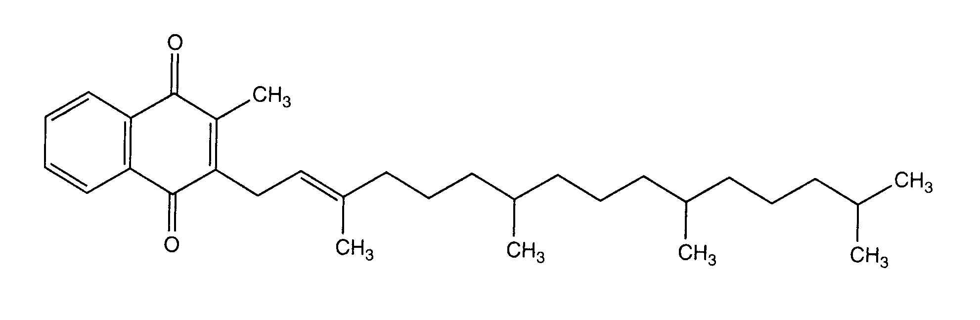
vitamiin   Phytomenadione  
suukaudne lahus
Süsteravim
Stabiilsust ravimpreparaadid Stabiilsust mõjutavad tegurid stabiilsust mõjutavad faktorid Sobimatus Viited pdf
   keemiline struktuur  

suukaudne lahus
Sobimatus   suukaudne lahus   Sobimatus : Phytomenadione              
andmed puuduvad

  Mentions Légales