Cập nhật lần cuối :
17/12/2025
thuốc trị ung thư   Paclitaxel  
Dạng tiêm
Tính ổn định của các dung dịch Độ ổn định khi trộn lẫn Những yếu tố ảnh hưởng đến độ ổn định Khả năng tương thích Đường dùng Tài liệu tham khảo Pdf
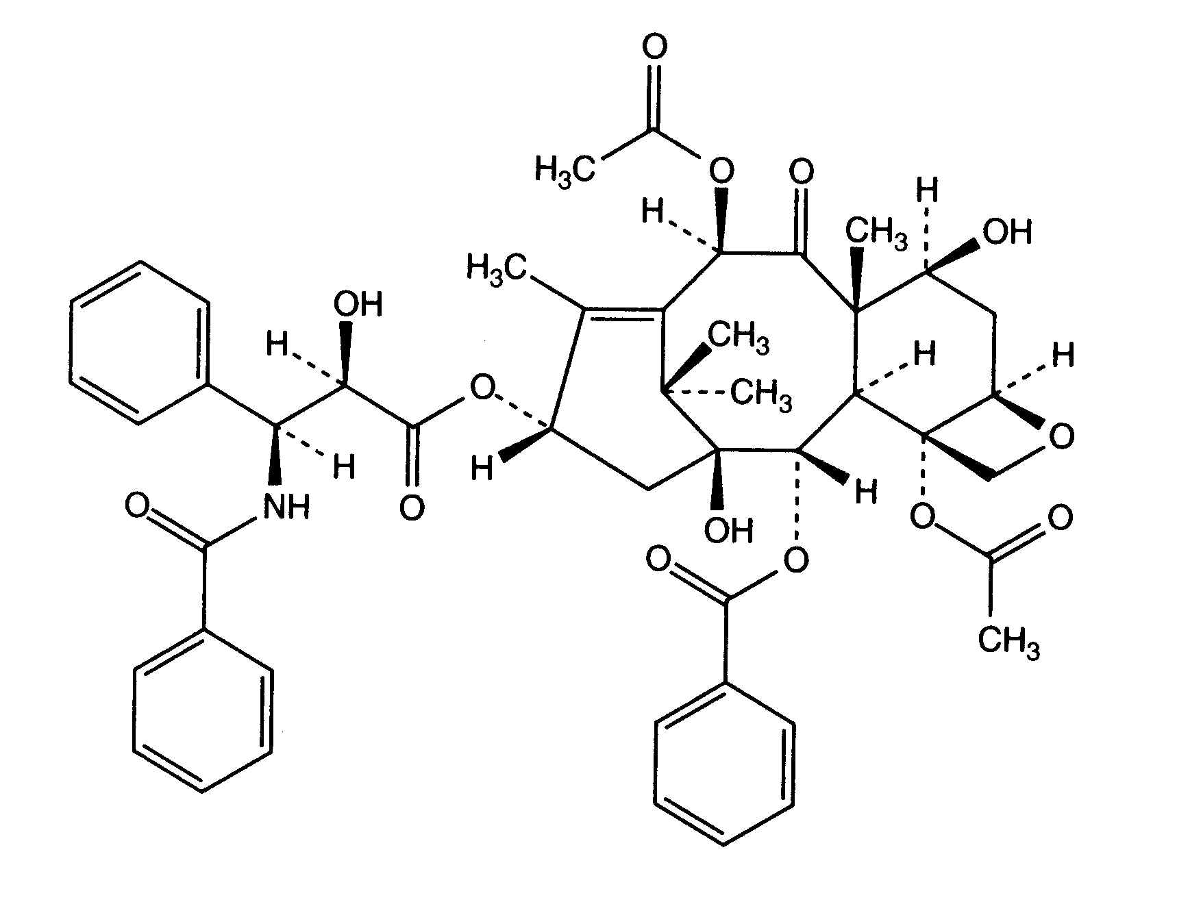
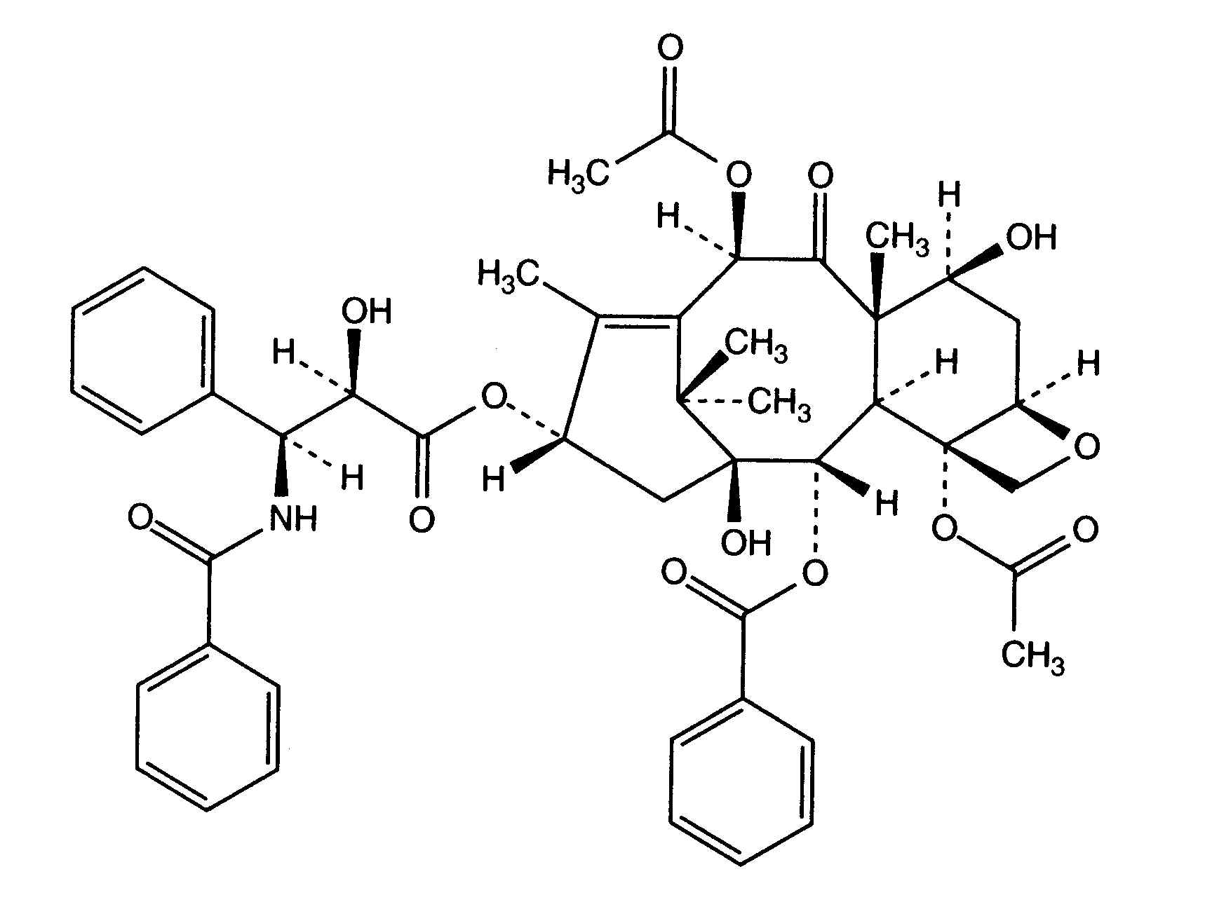
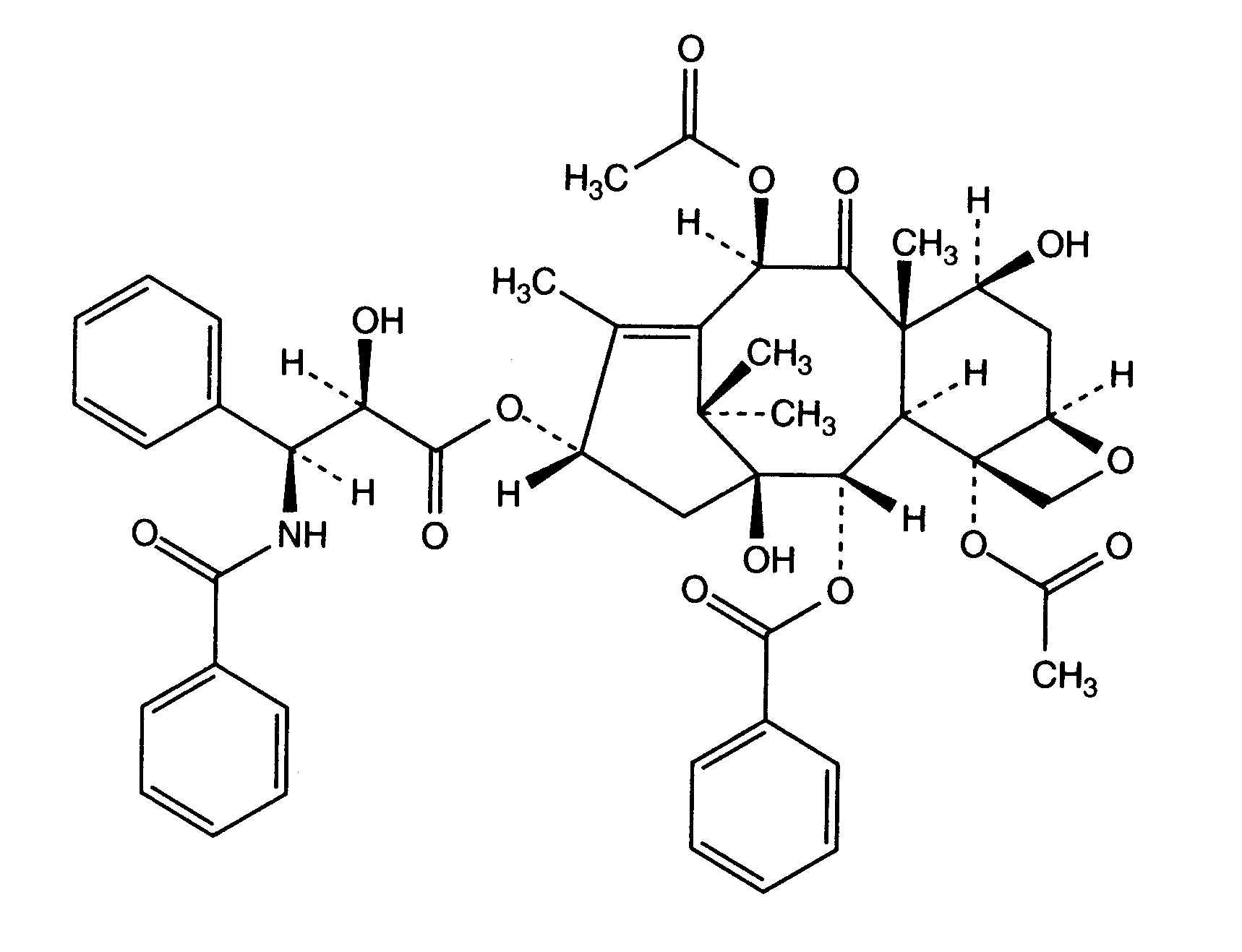
   Cấu trúc hóa học  

Tên thương mại   Tên thương mại     

Các tên thương mại được cung cấp và thành phần tá dược có thể khác nhau giữa các quốc gia và các hãng dược

Aclipak Malaysia
Acoexcel Mexico
Acupaxil Morocco
Anzatax Ả Rập, Ả Rập Saudi, Iran, Malaysia, Morocco, new zealand, Peru, Thổ Nhĩ Kỳ, Tunisia, United Arab Emirates
Aritaxel Đức
Cantaxel Ấn Độ
Clitaxel Argentina, Venezuela
Dalys Argentina
Ebetaxel Ả Rập Saudi, Áo, Iran, Morocco, Thổ Nhĩ Kỳ, Tunisia
Genexol Ả Rập, Ấn Độ, Iran
Onxol Hoa Kỳ
Paclinova Argentina
Paclitaxin Brazil, Luxembourg, Malaysia, Slovenia
Parexel Brazil, Colombia, Ecuador, Venezuela
Paxene Ba Lan, Hà Lan, Hy Lạp, Ireland, Tây Ban Nha, Đan Mạch
Poltaxel Ba Lan
Ribotax Đức
Taxol Ả Rập, Áo, Ba Lan, Bồ Đào Nha, Brazil, Colombia, Hà Lan, Hy Lạp, Iran, Malaysia, Morocco, new zealand, Nhật, Peru, Slovenia, Thổ Nhĩ Kỳ, Thụy Sỹ, Thụy Điển, United Arab Emirates, Venezuela, Ý, Đan Mạch
Taxomedac Đức
Vitax Brazil, Peru, Thổ Nhĩ Kỳ

Những yếu tố ảnh hưởng đến độ ổn định   Dạng tiêm   Những yếu tố ảnh hưởng đến độ ổn định : Paclitaxel        
Mục lục
Bao bì Nhựa polyvinyl chloride Tạo thành Giải phóng 38
140
158
250
412
1961
Nhiệt độ Tăng Tạo thành Giảm độ ổn định 2172
pH PH = 4 Tạo thành Tăng độ ổn định 3093
Cách dùng Bơm nhu động Tạo thành Kết tủa 1741
Nồng độ Tăng Tạo thành Kết tủa 2174
Nồng độ Tăng Tạo thành Giảm độ ổn định 2172

  Mentions Légales