Son güncelleme :
18/03/2026
kanser ilaç   Paclitaxel  
Enjeksiyon
Çözeltilerin stabilitesi Karışımlardaki stabilitesi Stabiliteyi etkileyen faktörler Uyumluluk Uygulama yöntemi Kaynaklar pdf
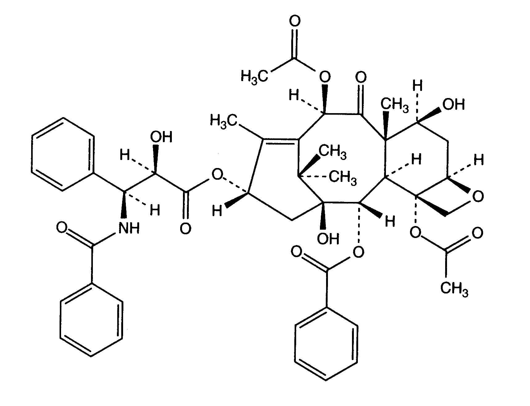
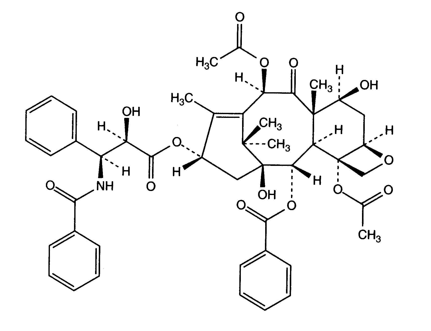
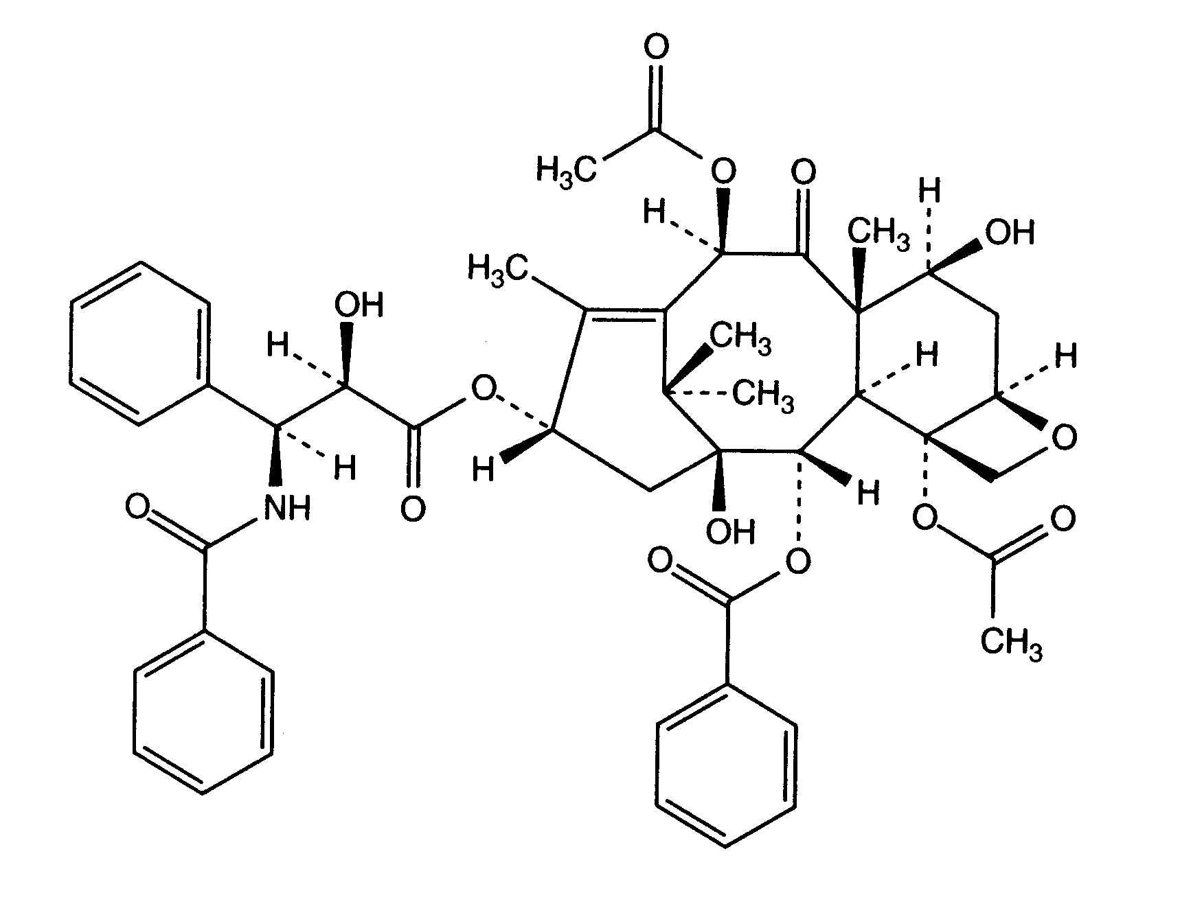
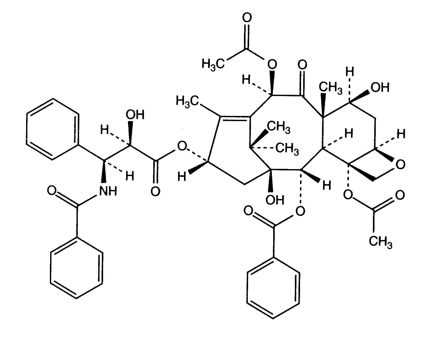
   Kimyasal yapı   

Ticari isim   Ticari isim     

Trade names are indicative and excipients composition can be different depending on the country and manufacturers

Aclipak Malezya
Acoexcel Meksika
Acupaxil Fas
Anzatax Birleşik Arap Emirlikleri, Fas, İran, Malezya, Mısır, Peru, Suudi Arabistan, Tunus, Türkiye, yeni Zelanda
Aritaxel Almanya
Cantaxel Hindistan
Clitaxel Arjantin, Venezuela
Dalys Arjantin
Ebetaxel Avusturya, Fas, İran, Suudi Arabistan, Tunus, Türkiye
Genexol Hindistan, İran, Mısır
Onxol Amerika Birleşik Devletleri
Paclinova Arjantin
Paclitaxin Brezilya, Lüksemburg, Malezya, Slovenya
Parexel Brezilya, Ekvador, Kolombiya, Venezuela
Paxene Danimarka, Hollanda, İrlanda, İspanya, Polonya, Yunanistan
Poltaxel Polonya
Ribotax Almanya
Taxol Avusturya, Birleşik Arap Emirlikleri, Brezilya, Danimarka, Fas, Hollanda, İran, İsveç, İsviçre, İtalya, Japonya, Kolombiya, Malezya, Mısır, Peru, Polonya, Portekiz, Slovenya, Türkiye, Venezuela, yeni Zelanda, Yunanistan
Taxomedac Almanya
Vitax Brezilya, Peru, Türkiye

Stabiliteyi etkileyen faktörler    Enjeksiyon    Stabiliteyi etkileyen faktörler : Paclitaxel        
Kaynaklar
Saklama kabı Polivinil klorür İndükler Ayrışma 38
140
158
250
412
1961
Isı Artış İndükler Stabilitede azalma 2172
pH pH = 4 İndükler Stabilitede artış 3093
Uygulama yöntemi Peristaltik pompa İndükler Çökme 1741
Konsantrasyon Artış İndükler Çökme 2174
Konsantrasyon Artış İndükler Stabilitede azalma 2172

  Mentions Légales