Última actualização :
18/03/2026
droga contra o câncer   Paclitaxel  
injetável
Estabilidade em soluções simples Estabilidade em misturas Factores que afectam a sua estabilidade Compatibilidade Método de administração Bibliografía pdf
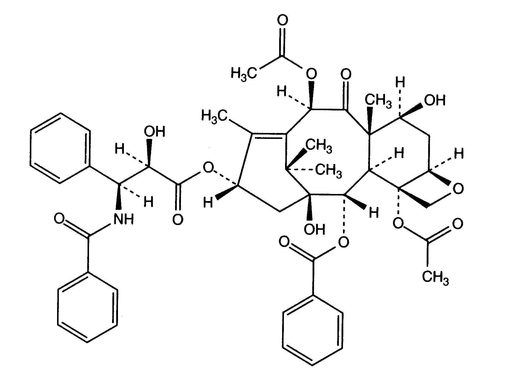
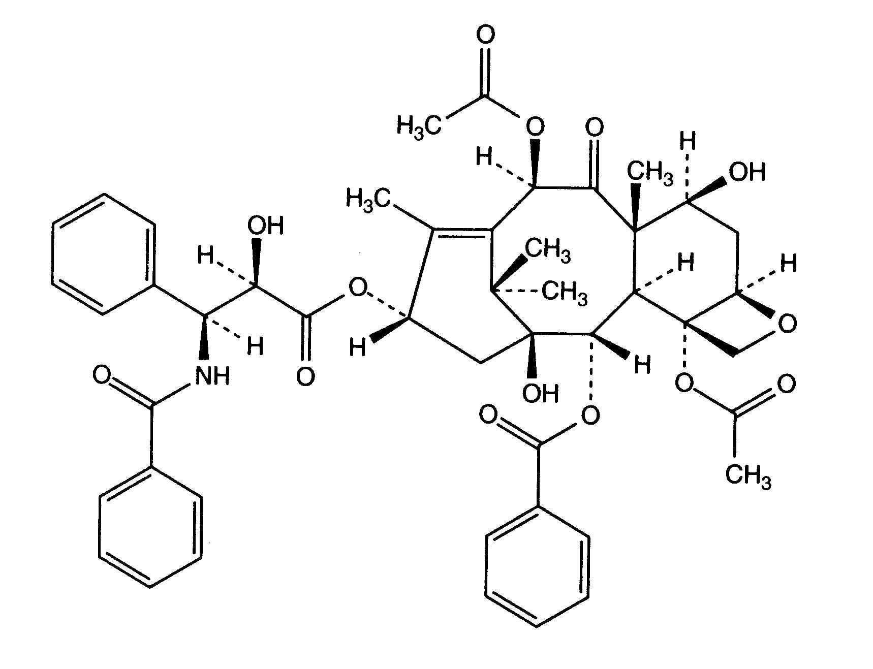
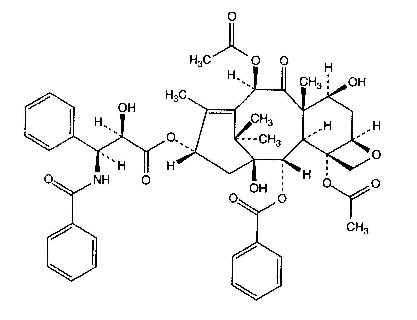
   estrutura química  

Nomes comerciais nos diversos países   Nomes comerciais nos diversos países     

OS NOMES COMERCIAIS SÃO INDICATIVOS E OS EXCIPIENTES DA FORMULAÇÃO PODEM SER DIFERENTES CONFORME O PAÍS E FABRICANTE.

Aclipak Malásia
Acoexcel México
Acupaxil Marrocos
Anzatax Arábia Saudita, Egipto, Emirados Árabes Unidos, Irã, Malásia, Marrocos, nova Zelândia, Peru, Tunísia, Turquia
Aritaxel Alemanha
Cantaxel Índia
Clitaxel Argentina, Venezuela
Dalys Argentina
Ebetaxel Arábia Saudita, Austria, Irã, Marrocos, Tunísia, Turquia
Genexol Egipto, Índia, Irã
Onxol Estados Unidos de América
Paclinova Argentina
Paclitaxin Brasil, Eslovenia, Luxemburgo, Malásia
Parexel Brasil, Colômbia, Equator, Venezuela
Paxene Dinamarca, Espanha, Grècia, Irlanda, Países Baixos, Polonia
Poltaxel Polonia
Ribotax Alemanha
Taxol Austria, Brasil, Colômbia, Dinamarca, Egipto, Emirados Árabes Unidos, Eslovenia, Grècia, Irã, Itália, Japón, Malásia, Marrocos, nova Zelândia, Países Baixos, Peru, Polonia, Portugal, Suècia, Suicia, Turquia, Venezuela
Taxomedac Alemanha
Vitax Brasil, Peru, Turquia

Factores que afectam a sua estabilidade   injetável   Factores que afectam a sua estabilidade : Paclitaxel        
Bibliografia
Embalagem Cloreto de polivinilo Provoca cedëncia 38
140
158
250
412
1961
temperatura Aumento Provoca Diminuição da estabilidade 2172
pH pH = 4 Provoca Aumento da estabilidade 3093
Método de administração Bomba peristáltica Provoca Precipitação 1741
concentração Aumento Provoca Precipitação 2174
concentração Aumento Provoca Diminuição da estabilidade 2172

  Mentions Légales