آخر تحديث :
18/03/2026
المضادة للسرطان المخدرات   Paclitaxel  
حقن
الاستقرار في حلول استقرار مخاليط العوامل التي تؤثر على الاستقرار التوافق طريقة التعاطي مراجع pdf
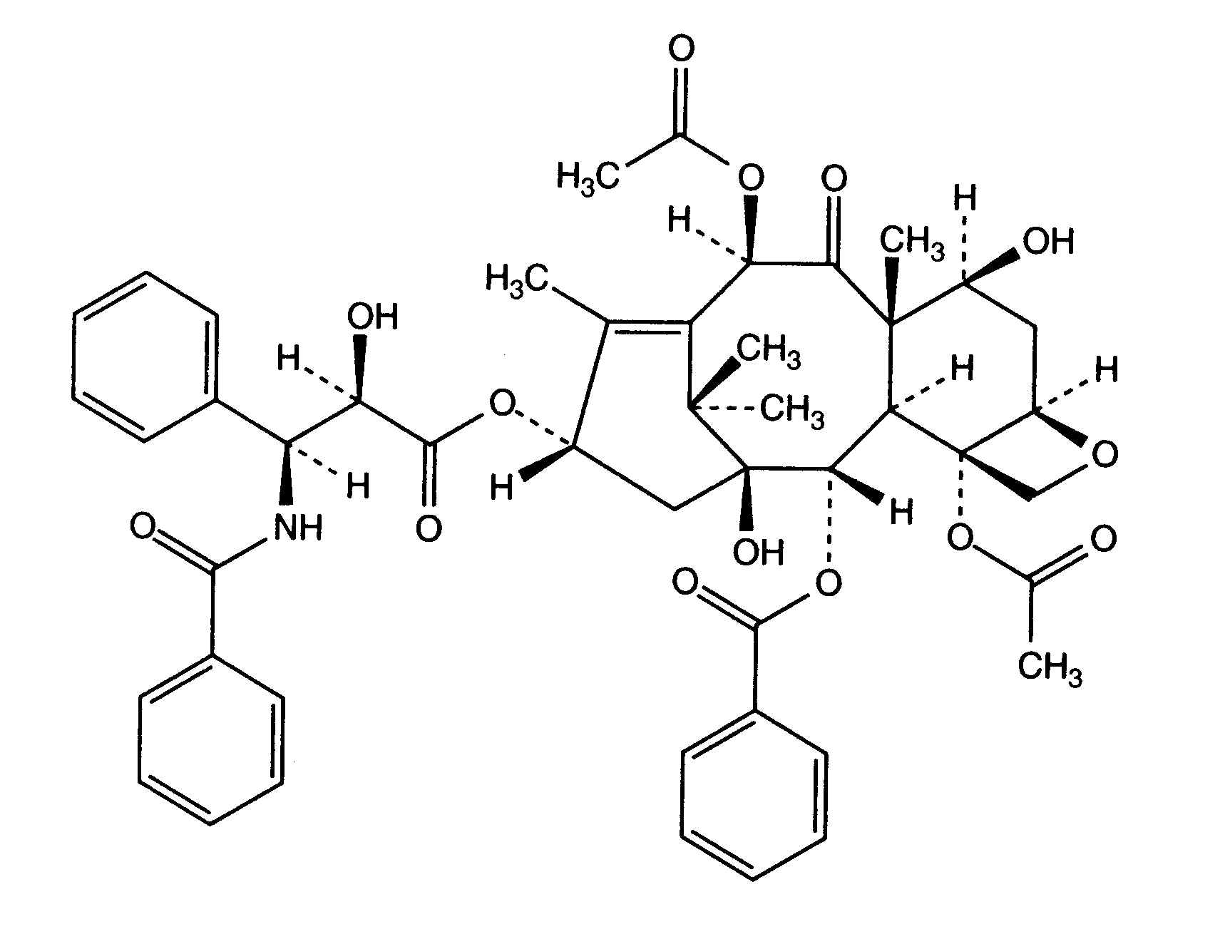
   التركيب الكيميائي  

حجز الاسم التجاري   حجز الاسم التجاري     

تحذير الأسماء التجاريه المختلفه قد تحتوي علي محتوي إضافات مختلفة حسب الدوله و المعمل

Aclipak ماليزيا
Acoexcel المكسيك
Acupaxil المغرب
Anzatax إيران, الإمارات العربية المتحدة, العربية السعودية, المغرب, بيرو, تركيا, تونس, زيلاندا الجديدة, ماليزيا, مصر
Aritaxel ألمانيا
Cantaxel الهند
Clitaxel الأرجنتين, فنزويلا
Dalys الأرجنتين
Ebetaxel إيران, العربية السعودية, المغرب, النمسا, تركيا, تونس
Genexol إيران, الهند, مصر
Onxol الولايات المتحدة
Paclinova الأرجنتين
Paclitaxin البرازيل, سلوفينيا, لوكسمبورغ, ماليزيا
Parexel الإكوادور, البرازيل, فنزويلا, كولومبيا
Paxene إسبانيا, الدنمارك, ايرلندا, بولندا, هولندا, يونان
Poltaxel بولندا
Ribotax ألمانيا
Taxol إيران, إيطاليا, الإمارات العربية المتحدة, البرازيل, البرتغال, الدنمارك, السويد, المغرب, النمسا, اليابان, بولندا, بيرو, تركيا, زيلاندا الجديدة, سلوفينيا, سويسرا, فنزويلا, كولومبيا, ماليزيا, مصر, هولندا, يونان
Taxomedac ألمانيا
Vitax البرازيل, بيرو, تركيا

العوامل التي تؤثر على الاستقرار   حقن   العوامل التي تؤثر على الاستقرار : Paclitaxel        
مراجع
حاوية البولي فينيل كلوريد الحث الرشح 38
140
158
250
412
1961
درجة الحرارة زيادة الحث تخفيض الاستقرار 2172
pH pH = 4 الحث تعزيز الاستقرار 3093
طريقة الإعطاء تحوي مضخة الحث ترسيب 1741
تركيز زيادة الحث ترسيب 2174
تركيز زيادة الحث تخفيض الاستقرار 2172

  Mentions Légales