Last update :
18/03/2026
Anticancer drug   Paclitaxel  
injection
Stability in solutions Stability of mixtures Factors which affect stability Compatibility Route of administration References pdf
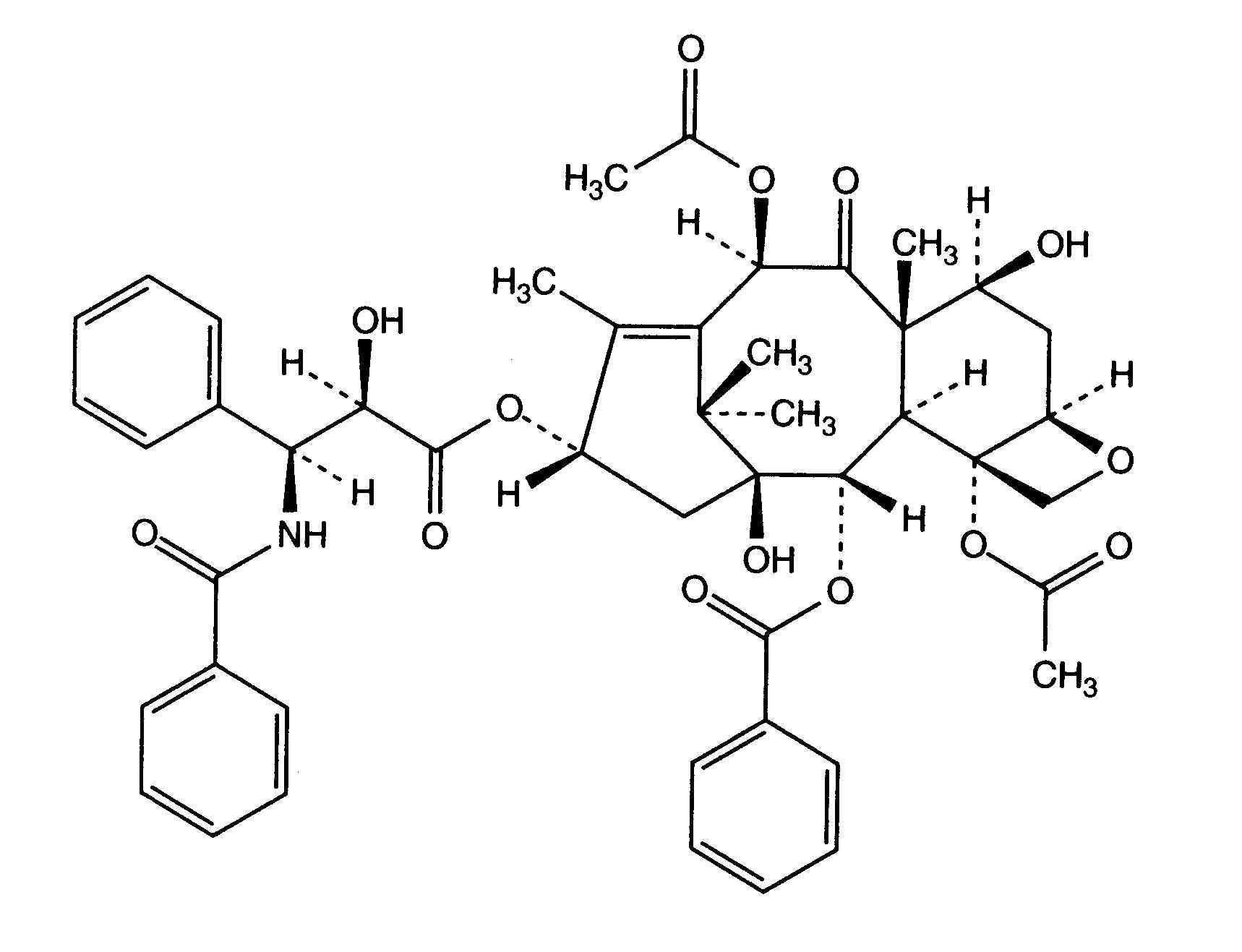
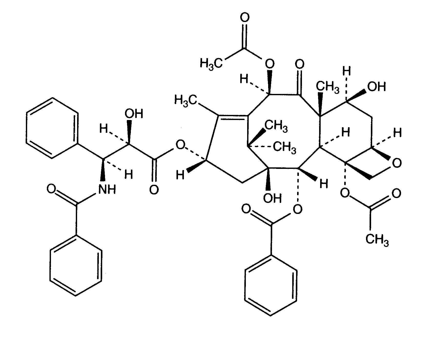
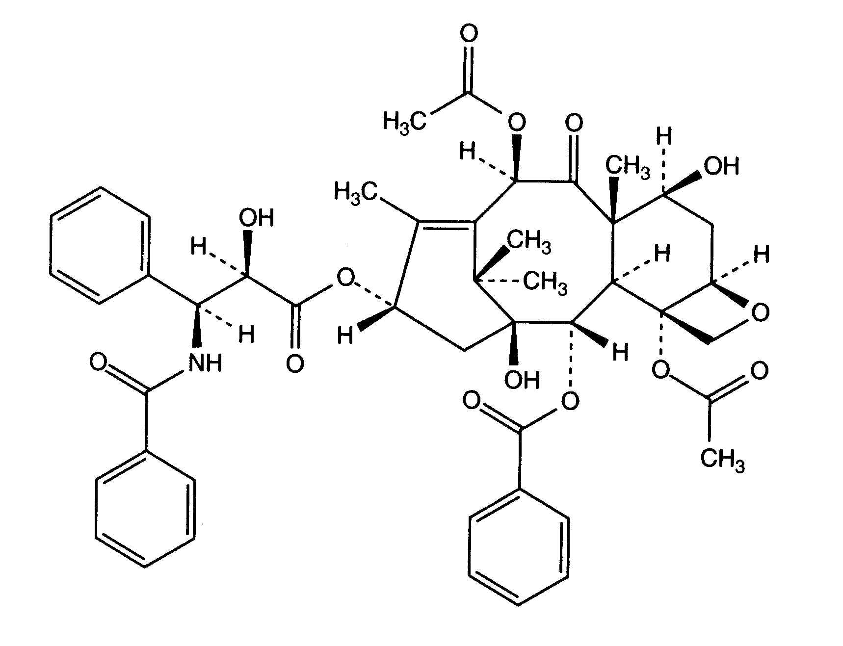
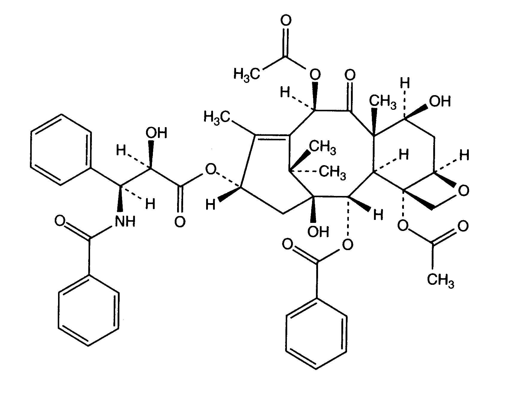
   Chemical structure  

Tradename   Tradename     

Trade names are indicative and excipients composition can be different depending on the country and manufacturers

Aclipak Malaysia
Acoexcel Mexico
Acupaxil Morocco
Anzatax Egypt, Iran, Malaysia, Morocco, New Zealand, Peru, Saudi Arabia, Tunisia, Turkey, United Arab Emirates
Aritaxel Germany
Cantaxel India
Clitaxel Argentina, Venezuela
Dalys Argentina
Ebetaxel Austria, Iran, Morocco, Saudi Arabia, Tunisia, Turkey
Genexol Egypt, India, Iran
Onxol United States of America
Paclinova Argentina
Paclitaxin Brazil, Luxembourg, Malaysia, Slovenia
Parexel Brazil, Colombia, Ecuador, Venezuela
Paxene Denmark, Greece, Ireland, Netherlands, Poland, Spain
Poltaxel Poland
Ribotax Germany
Taxol Austria, Brazil, Colombia, Denmark, Egypt, Greece, Iran, Italy, Japan, Malaysia, Morocco, Netherlands, New Zealand, Peru, Poland, Portugal, Slovenia, Sweden, Switzerland, Turkey, United Arab Emirates, Venezuela
Taxomedac Germany
Vitax Brazil, Peru, Turkey

Factors which affect stability   injection   Factors which affect stability : Paclitaxel        
References
Container Polyvinyl chloride Induces Leaching 38
140
158
250
412
1961
Temperature Increase Induces Reduced stability 2172
pH pH = 4 Induces Enhanced stability 3093
Method of administration Peristaltic pump Induces Precipitation 1741
Concentration Increase Induces Precipitation 2174
Concentration Increase Induces Reduced stability 2172

  Mentions Légales