Ultimele actualizari :
18/03/2026
Citostatic   Paclitaxel  
Injectabil
Stabilitatea in solutie Stabilitatea in amestec Factorii care influenteaza stabilitatea Compatibilitate Microunde Bibliografie pdf
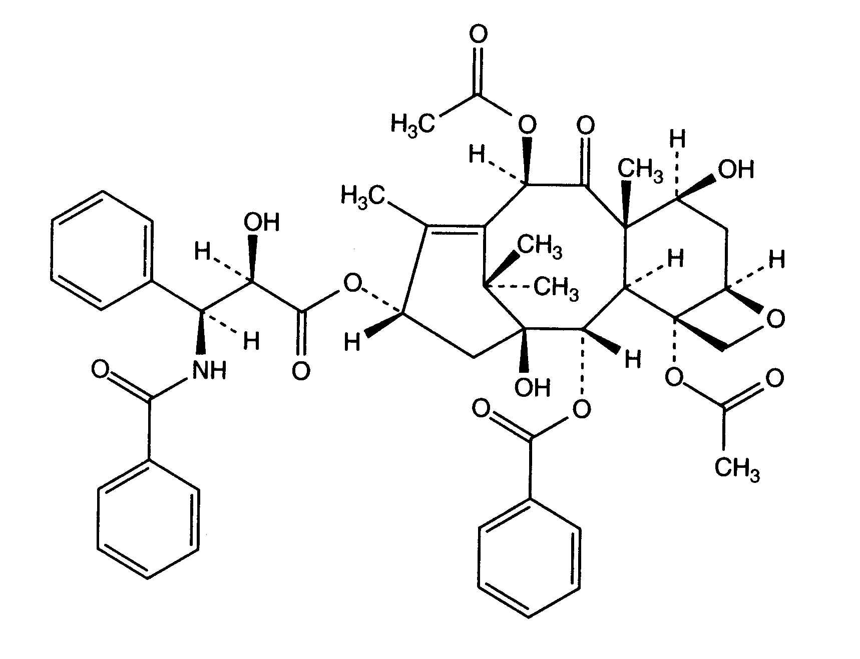
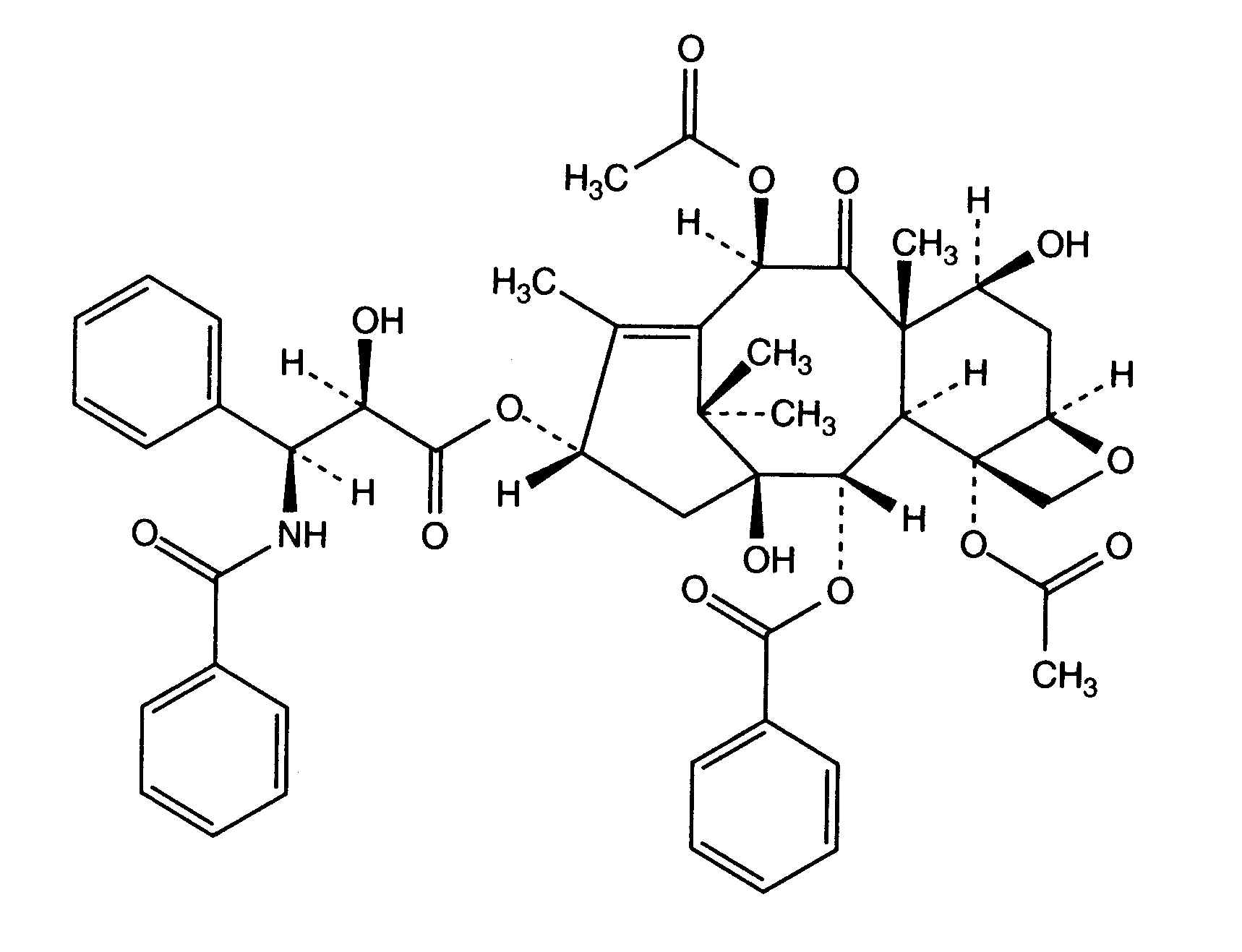
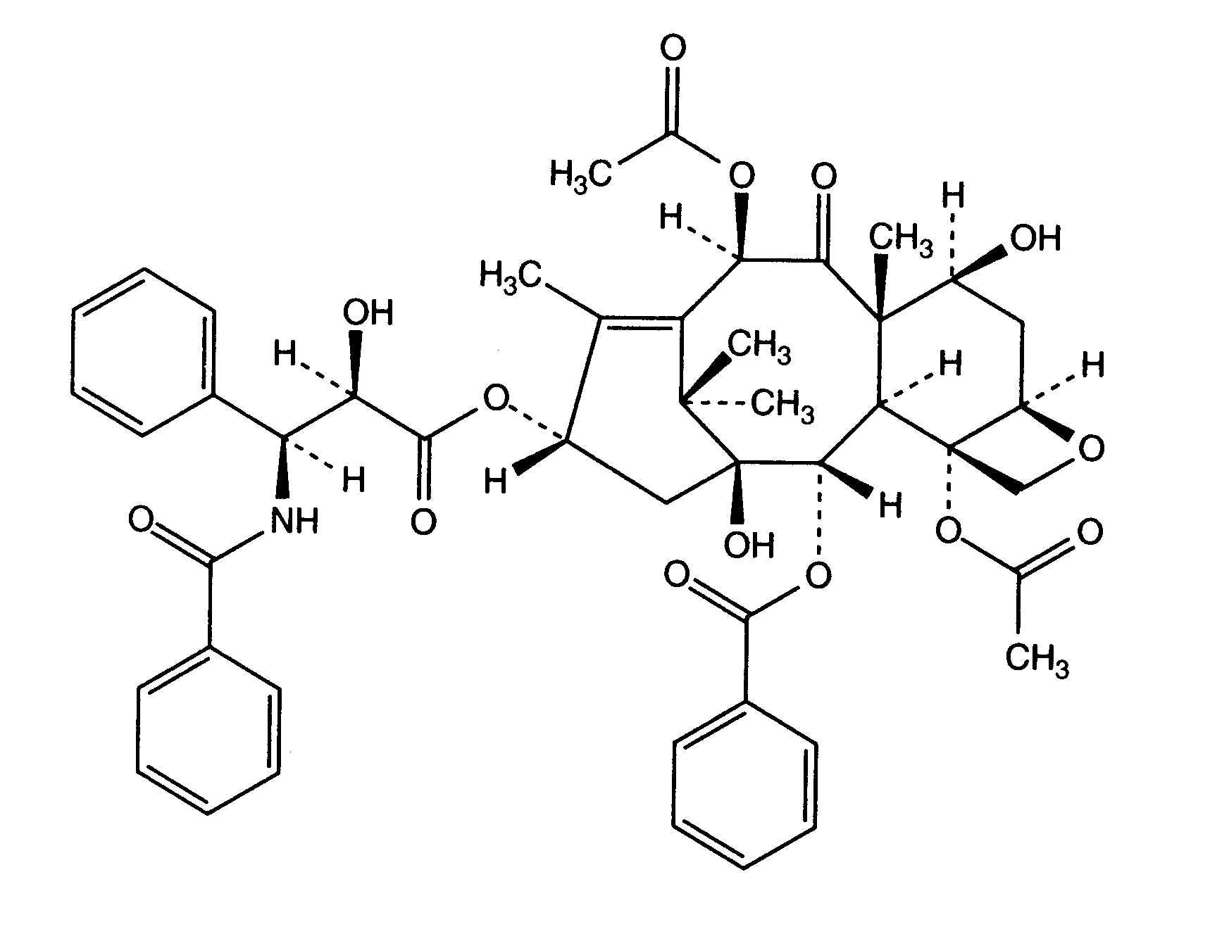
   Formula chimica  

Denumirea comerciala   Denumirea comerciala     

Trade names are indicative and excipients composition can be different depending on the country and manufacturers

Aclipak Malaezia
Acoexcel Mexic
Acupaxil Maroc
Anzatax Arabia Saudita, Egipt, Emiratele Arabe Unite, Iran, Malaezia, Maroc, noua Zeelandă, Peru, Tunisia, Turcia
Aritaxel Germania
Cantaxel India
Clitaxel Argentina, Venezuela
Dalys Argentina
Ebetaxel Arabia Saudita, Austria, Iran, Maroc, Tunisia, Turcia
Genexol Egipt, India, Iran
Onxol SUA
Paclinova Argentina
Paclitaxin Brazilia, Luxemburg, Malaezia, Slovenia
Parexel Brazilia, Columbia, Ecuador, Venezuela
Paxene Danemarca, Grecia, Irlanda, Olanda, Polonia, Spania
Poltaxel Polonia
Ribotax Germania
Taxol Austria, Brazilia, Columbia, Danemarca, Egipt, Elvetia, Emiratele Arabe Unite, Grecia, Iran, Italia, Japonia, Malaezia, Maroc, noua Zeelandă, Olanda, Peru, Polonia, Portugalia, Slovenia, Suedia, Turcia, Venezuela
Taxomedac Germania
Vitax Brazilia, Peru, Turcia

Factorii care influenteaza stabilitatea   Injectabil   Factorii care influenteaza stabilitatea : Paclitaxel        
Bibiografie
Continut clorura de polivinil Provoaca Relargaj 38
140
158
250
412
1961
Temperatura Cresterea Provoaca Diminuarea stabilitatii 2172
pH pH = 4 Provoaca Cresterea stabilitatii 3093
Mod de administrare Pompa peristaltica Provoaca Precipitare 1741
Concentratie Cresterea Provoaca Precipitare 2174
Concentratie Cresterea Provoaca Diminuarea stabilitatii 2172

  Mentions Légales