Laatste update :
18/03/2026
geneesmiddel tegen kanker   Paclitaxel  
injecteerbaar geneesmiddel
Stabiliteit in oplossing Stabiliteit in mengsels Factoren die de stabiliteit beïnvloeden Verenigbaarheden Toedieningswijze Literatuur pdf
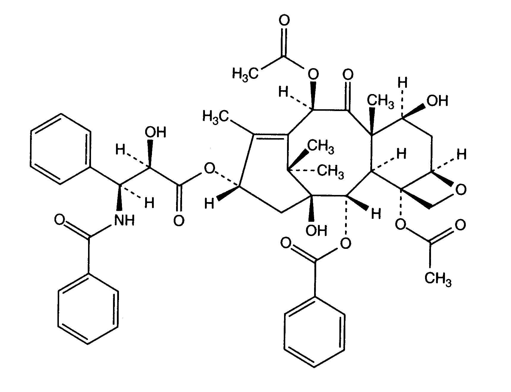
   Molecuulstructuur  

Merknamen in verschillende landen   Merknamen in verschillende landen     

Handelsnamen zijn slechts een indicatie; de samenstelling van hulpstoffen kan per land variëren afhankelijk van de fabrikant

Aclipak Maleisië
Acoexcel Mexico
Acupaxil Marokko
Anzatax Egypte, Iran, Maleisië, Marokko, nieuw Zeeland, Peru, Saudi-Arabië, Tunisie, Turkije, Verenigde Arabische Emiraten
Aritaxel Duitsland
Cantaxel Indië
Clitaxel Argentinië, Venezuela
Dalys Argentinië
Ebetaxel Iran, Marokko, Oostenrijk, Saudi-Arabië, Tunisie, Turkije
Genexol Egypte, Indië, Iran
Onxol USA
Paclinova Argentinië
Paclitaxin Brazilië, Luxemburg, Maleisië, Slovenië
Parexel Brazilië, Colombia, Ecuador, Venezuela
Paxene Denemarken, Griekenland, Ierland, Nederland, Polen, Spanje
Poltaxel Polen
Ribotax Duitsland
Taxol Brazilië, Colombia, Denemarken, Egypte, Griekenland, Iran, Italië, Japan, Maleisië, Marokko, Nederland, nieuw Zeeland, Oostenrijk, Peru, Polen, Portugal, Slovenië, Turkije, Venezuela, Verenigde Arabische Emiraten, Zweden, Zwitserland
Taxomedac Duitsland
Vitax Brazilië, Peru, Turkije

Factoren die de stabiliteit beïnvloeden   injecteerbaar geneesmiddel   Factoren die de stabiliteit beïnvloeden : Paclitaxel        
Literatuur
Verpakking Polyvinylchloride (PVC) Veroorzaakt Uitloging 38
140
158
250
412
1961
Temperatuur Versterking Veroorzaakt Stabiliteit neemt af 2172
pH pH = 4 Veroorzaakt Grotere stabiliteit 3093
Toedieningswijze Peristaltische pomp Veroorzaakt Neerslag 1741
Concentratie Versterking Veroorzaakt Neerslag 2174
Concentratie Versterking Veroorzaakt Stabiliteit neemt af 2172

  Mentions Légales