Senaste uppdateringen :
27/11/2025
Diverse   N-acetylcysteine  
Aerosol
injektion ögondroppar Oral lösning
Stabilitet av läkemedel Stabilitet i blandningar Faktorer som påverkar stabiliteten Kompatibilitet Hänvisningar pdf
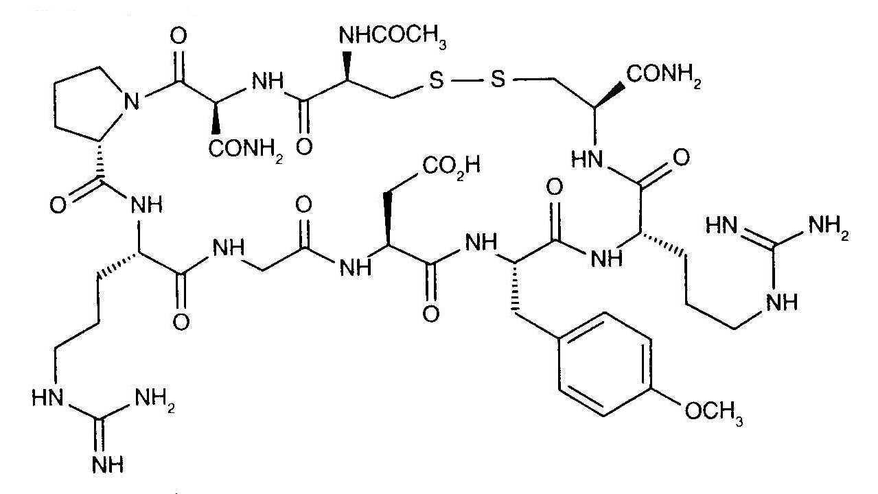
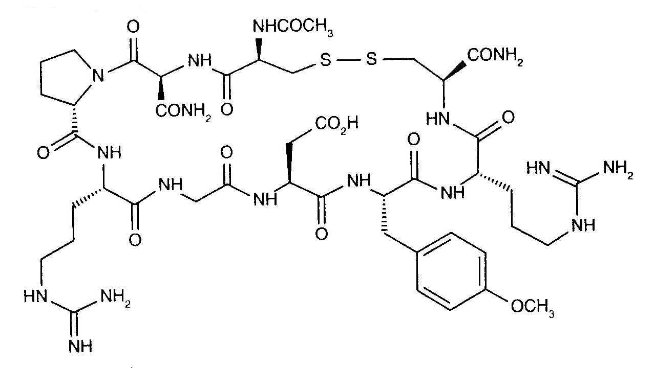
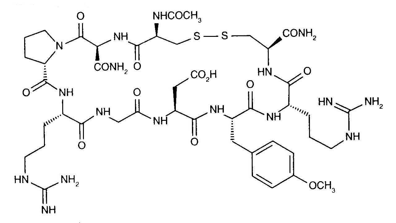
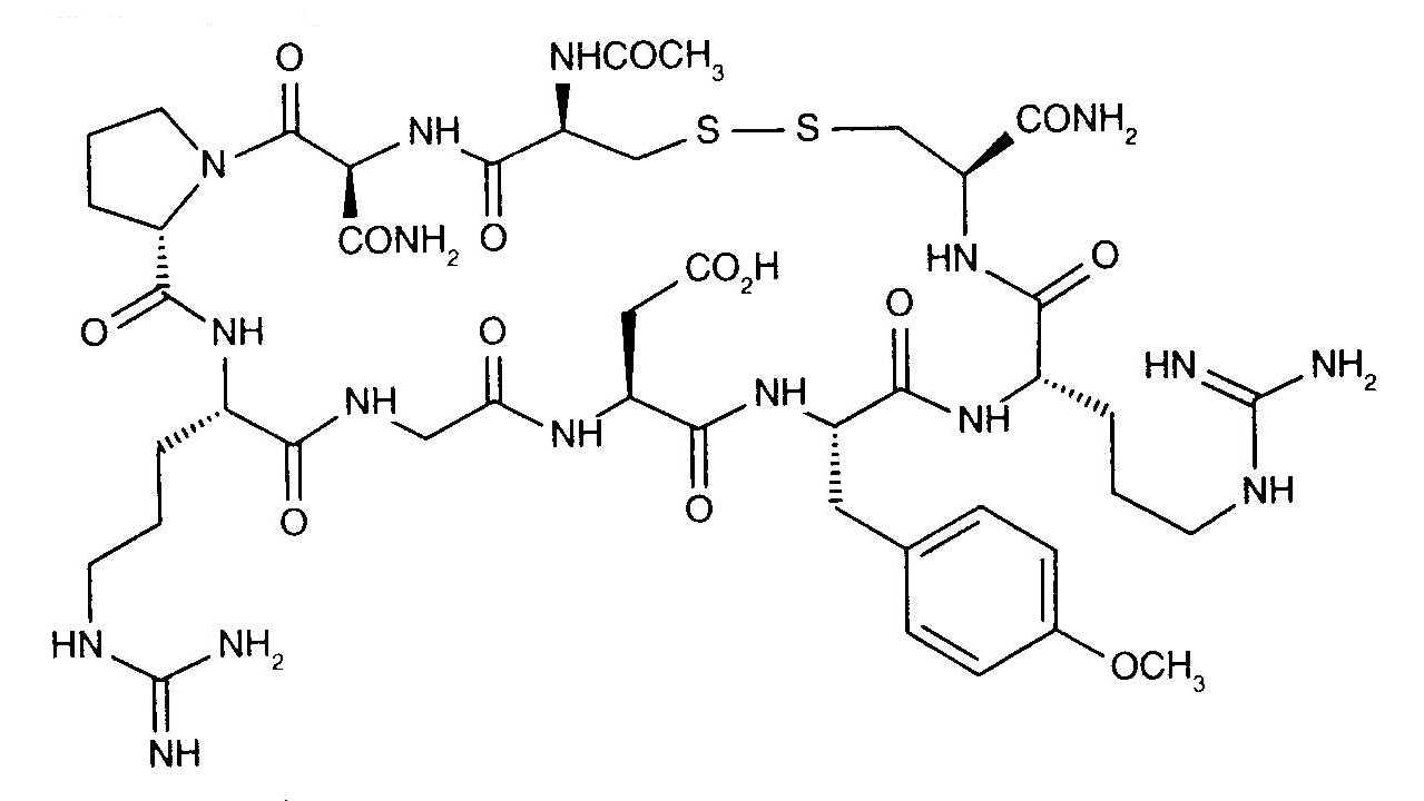
   Molekylstruktur  

Aerosol
Stabilitet av läkemedel   Aerosol   Stabilitet av läkemedel : N-acetylcysteine     
Ingen uppgift

  Mentions Légales