Ultimele actualizari :
18/03/2026
Diverse   N-acetylcysteine  
Aerosol
colir Injectabil Soluţie orală
Stabilitatea preparatelor farmaceutice Stabilitatea in amestec Factorii care influenteaza stabilitatea Compatibilitate Bibliografie pdf
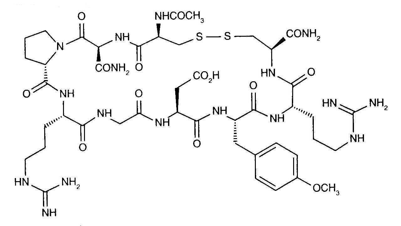
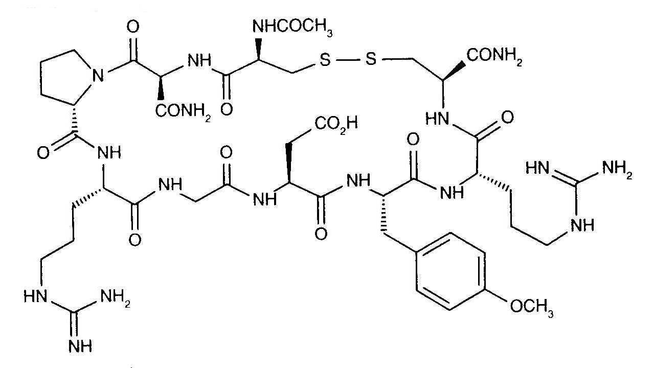
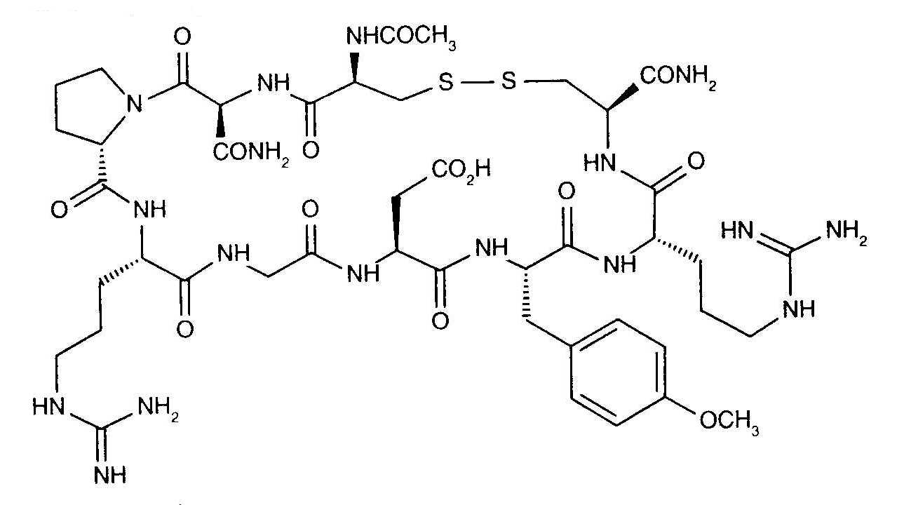
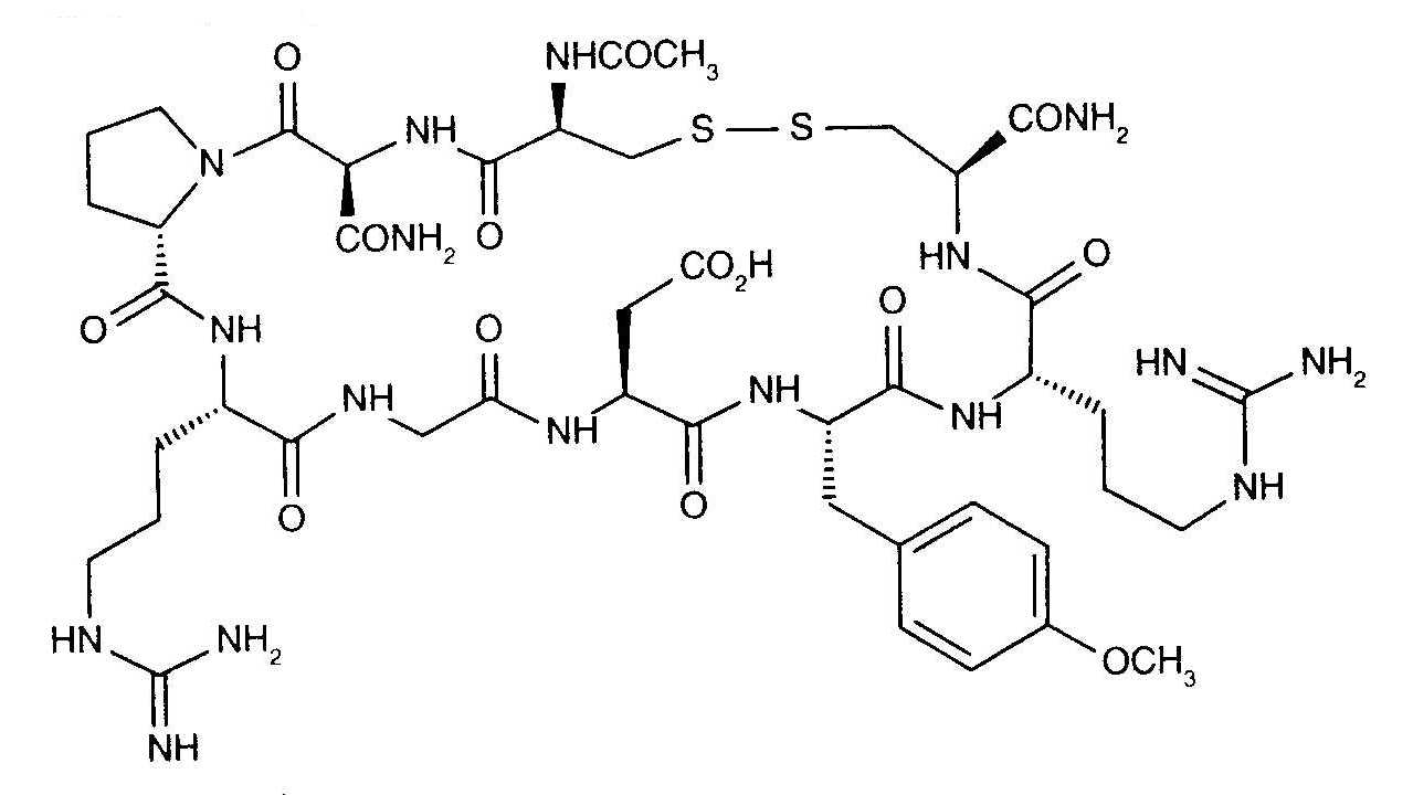
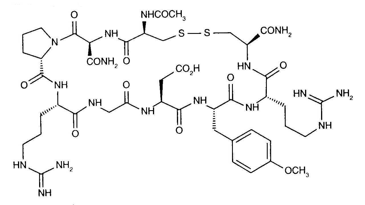
   Formula chimica  

Aerosol
Stabilitatea preparatelor farmaceutice   Aerosol   Stabilitatea preparatelor farmaceutice : N-acetylcysteine     
Absenta de date

  Mentions Légales