Seneste opdatering :
27/11/2025
Diverse   N-acetylcysteine  
Aerosol
Injektion Oral opløsning Øjendråber
Stabilitet af farmaceutiske tilberedninger Stabilitet i blandinger Faktorer der påvirker stabiliteten Kompatibilitet Bibliografi pdf
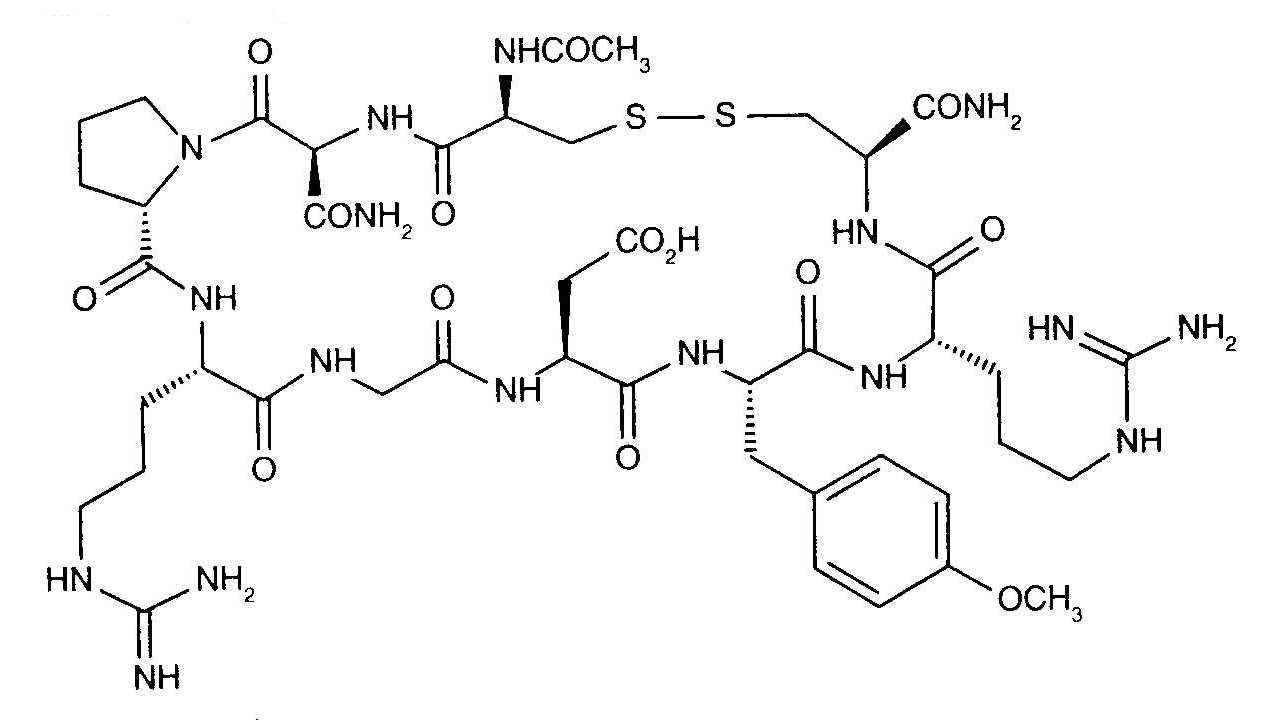
   Kemisk struktur  

Aerosol
Stabilitet af farmaceutiske tilberedninger   Aerosol   Stabilitet af farmaceutiske tilberedninger : N-acetylcysteine     
Ingen data

  Mentions Légales