Laatste update :
27/11/2025
Diverse   N-acetylcysteine  
Aerosol
injecteerbaar geneesmiddel Oogwater Orale Oplossing
Stabiliteit van farmaceutische preparaten Stabiliteit in mengsels Factoren die de stabiliteit beïnvloeden Verenigbaarheden Literatuur pdf
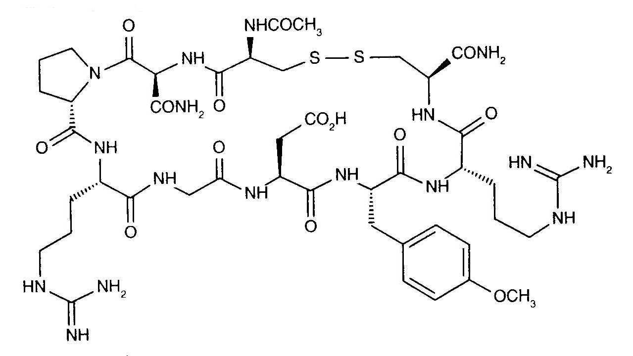
   Molecuulstructuur  

Aerosol
Stabiliteit van farmaceutische preparaten   Aerosol   Stabiliteit van farmaceutische preparaten : N-acetylcysteine     
geen gegevens

  Mentions Légales