Τελευταία ενημέρωση :
27/11/2025
Λοιπά   N-acetylcysteine  
Αεροζόλ
Ενέσιμο Οφθαλμικές σταγόνες Πόσιμο διάλυμα
Σταθερότητα και συμβατότητα των φαρμάκων Σταθερότητα σε μίγματα Παράγοντας που επηρεάζει τη σταθερότητα Συμβατότητες Βιβλιογραφία pdf
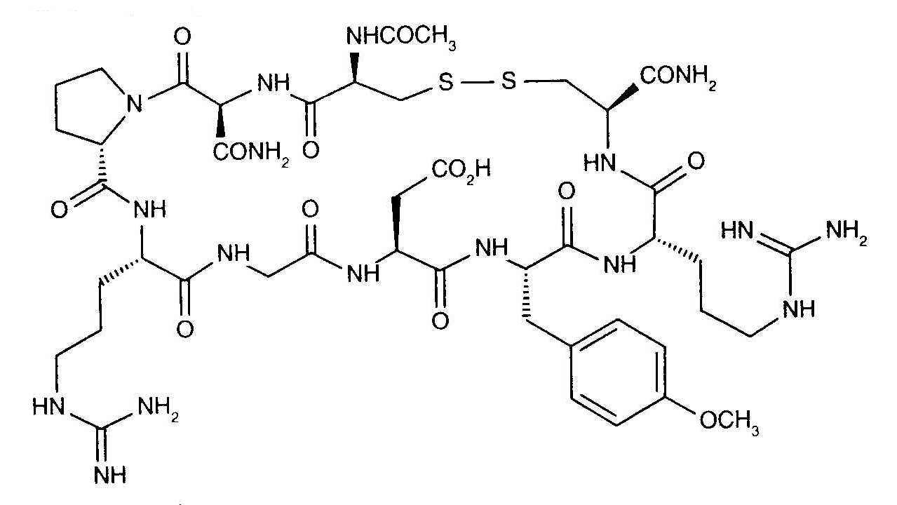
   χημική δομή  

Αεροζόλ
Σταθερότητα και συμβατότητα των φαρμάκων   Αεροζόλ   Σταθερότητα και συμβατότητα των φαρμάκων : N-acetylcysteine     
Δεν υπάρχουν πληροφορίες

  Mentions Légales