Poslední aktualizace :
27/11/2025
Įvairūs   N-acetylcysteine  
Aerozolis
Akių lašai Geriamas tirpalas Įpurškimas
Stabilumas farmacinių preparatų Mišinių stabilumas Stabilumą lemiantys veiksniai Suderinamumas Bibliografija pdf
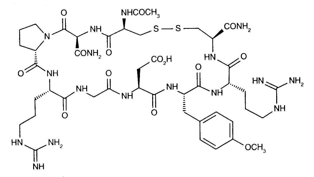
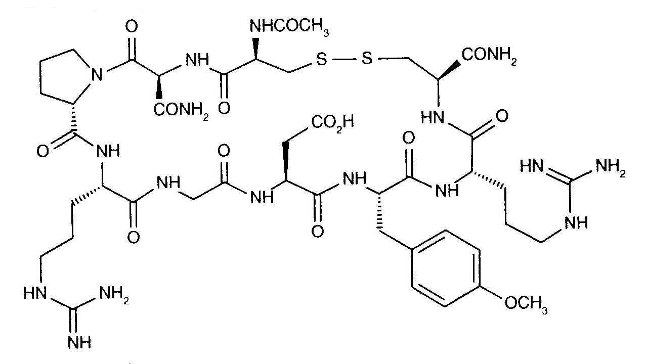
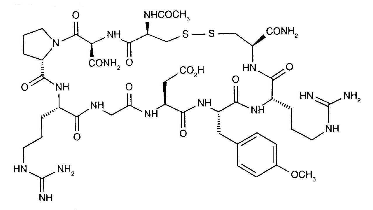
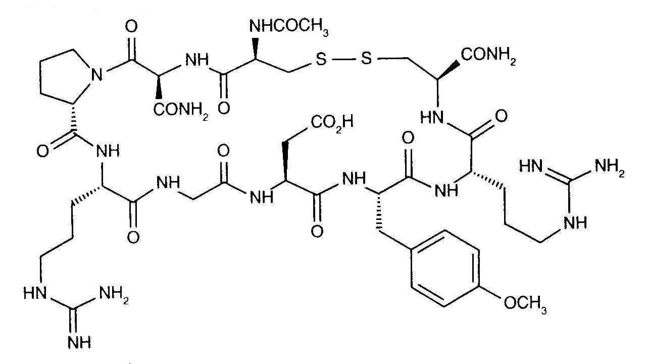
   Cheminė sandara  

Aerozolis
Stabilumas farmacinių preparatų   Aerozolis   Stabilumas farmacinių preparatų : N-acetylcysteine     
Nėra duomenų

  Mentions Légales