Cập nhật lần cuối :
05/12/2025
Thuốc chống nấm   Amphotericin B  
Thuốc súc miệng
Dạng tiêm Dung dịch uống Khí dung Thuốc nhỏ mắt
Tính ổn định của các chế phẩm Độ ổn định khi trộn lẫn Những yếu tố ảnh hưởng đến độ ổn định Khả năng tương thích Tài liệu tham khảo Pdf
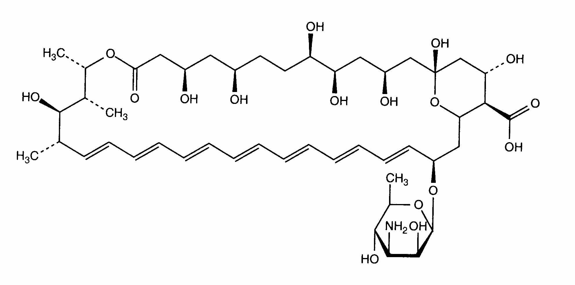
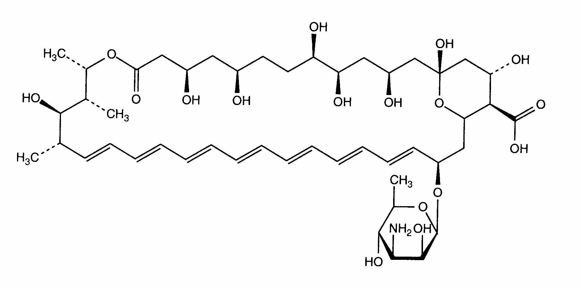
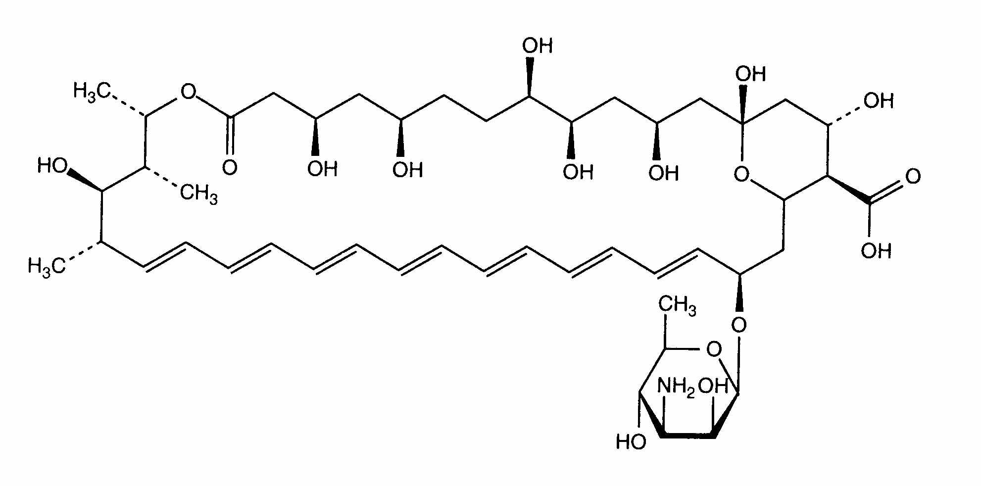
   Cấu trúc hóa học  

Thuốc súc miệng
Tính ổn định của các chế phẩm   Thuốc súc miệng   Tính ổn định của các chế phẩm : Amphotericin B     
Bao bì Nguyên bản Tá dược Nhiệt độ Bảo quản Thời gian ổn định Mục lục
Thủy tinh Bột 3700 mg
Fungizone®
Natri bicarbonat 1.4% >> 500 ml
19-23°C Tránh ánh sáng
3 Ngày
2820

Nhựa polypropylen Bột 3700 mg
Fungizone®
Natri bicarbonat 1.4% >> 500 ml
19-23°C Có hoặc không có tiếp xúc với ánh sáng
3 Ngày
2820

Nhựa polypropylen Bột 3700 mg
Fungizone®
Natri bicarbonat 1.4% >> 500 ml
4°C Tránh ánh sáng
15 Ngày
2820


  Mentions Légales