Viimeisin päivitys :
05/12/2025
Infostab
Luettelo yhdisteistä
Yhteenveto-luettelot
Etsi yhteensopivuutta
Y-sivuston yhteensopivuustaulukko
Viitteet
tutkimus Joukkueet
valistab
ilmoitus
Liitännät
sponsorit
Tekijät
Käyttöohje
Uutiskirje
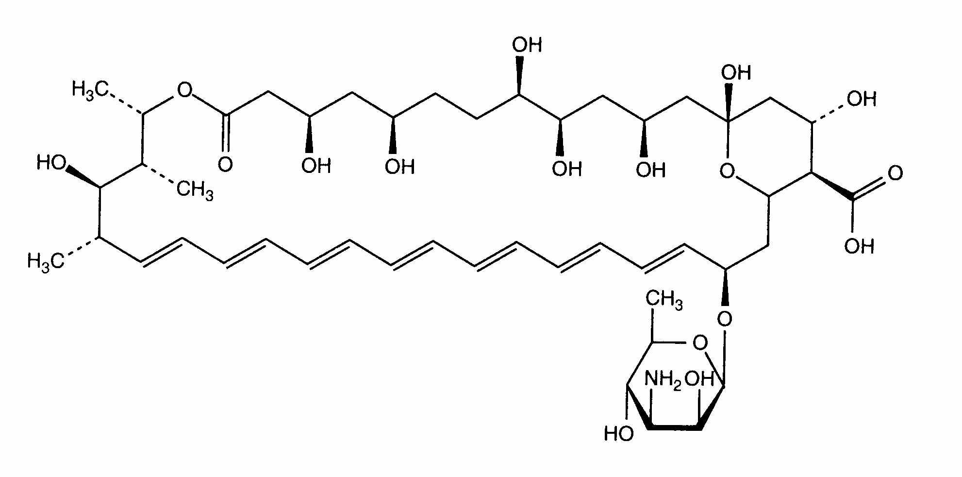
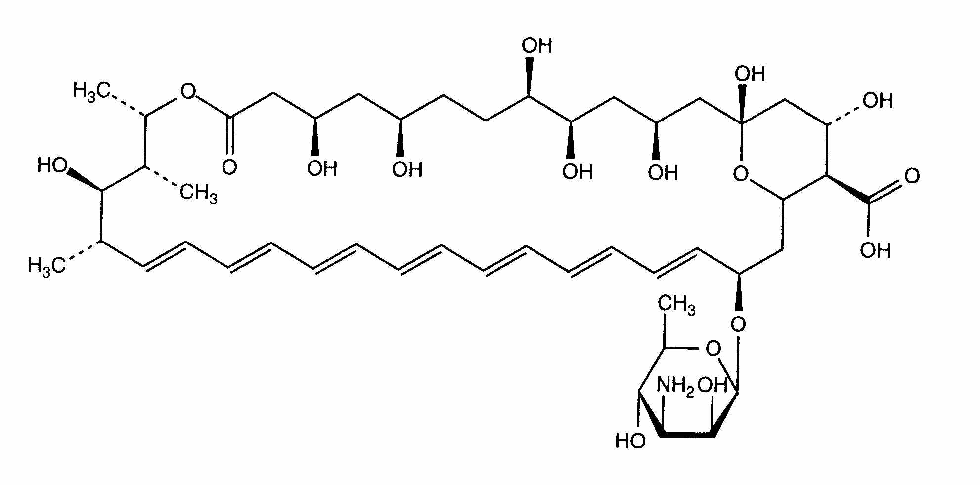
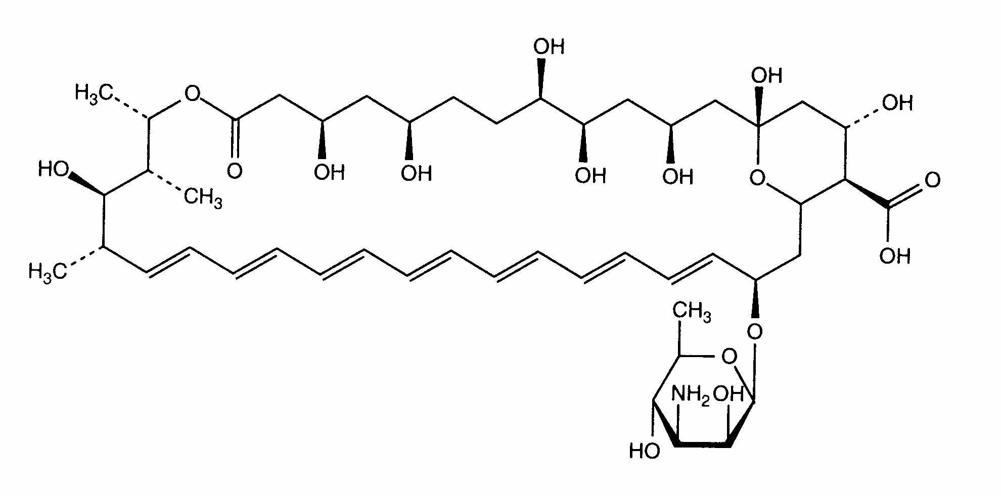
Amphotericin B
Kemiallinen rakenne
Vakaus lääkevalmisteen : Amphotericin B
3700 mg
Fungizone®
Natriumbikarbonaatti
1.4% >> 500 ml
19-23°C
3
2820
3700 mg
Fungizone®
Natriumbikarbonaatti
1.4% >> 500 ml
19-23°C
3
2820
3700 mg
Fungizone®
Natriumbikarbonaatti
1.4% >> 500 ml
4°C
15
2820
Mentions Légales