Dernière mise à jour :
18/03/2026
Infostab
Liste des molécules
Listes récapitulatives
Recherches de compatibilités
Tableau de compatibilités en Y
Bibliographie
Equipes de recherche
Valistab
Posters
Liens infostab
Partenaires
Auteurs
Manuel d'utilisation
Lettre d'actualité
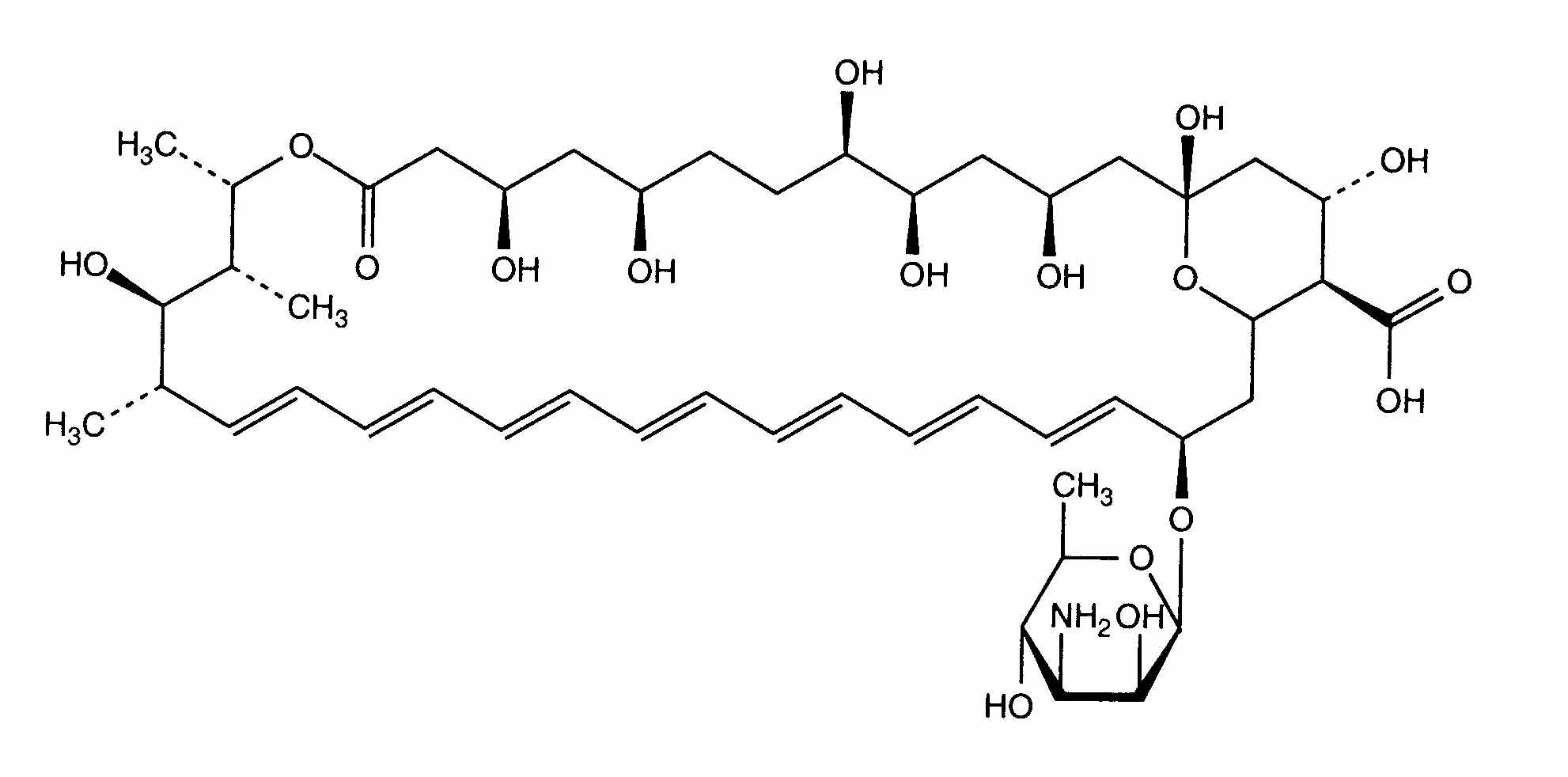
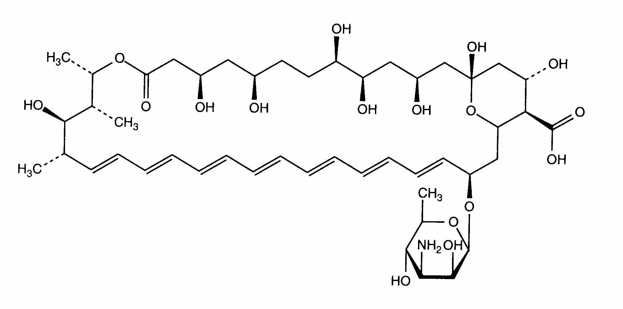
Amphotericin B
Structure chimique
Stabilité des préparations : Amphotericin B
3700 mg
Fungizone®
NaHCO3
1.4% >> 500 ml
19-23°C
3
2820
3700 mg
Fungizone®
NaHCO3
1.4% >> 500 ml
19-23°C
3
2820
3700 mg
Fungizone®
NaHCO3
1.4% >> 500 ml
4°C
15
2820
Mentions Légales