Ostatnia aktualizacja :
18/03/2026
Lek przeciwgrzybiczny   Amphotericin B  
Roztwór do płukania gardła
Aerozol Injekcje Krople oczne Roztwór doustny
Stabilność preparatów farmaceutycznych Trwałość w mieszaninie Czynnik wpływający na trwałość Zgodność Bibliografia pdf
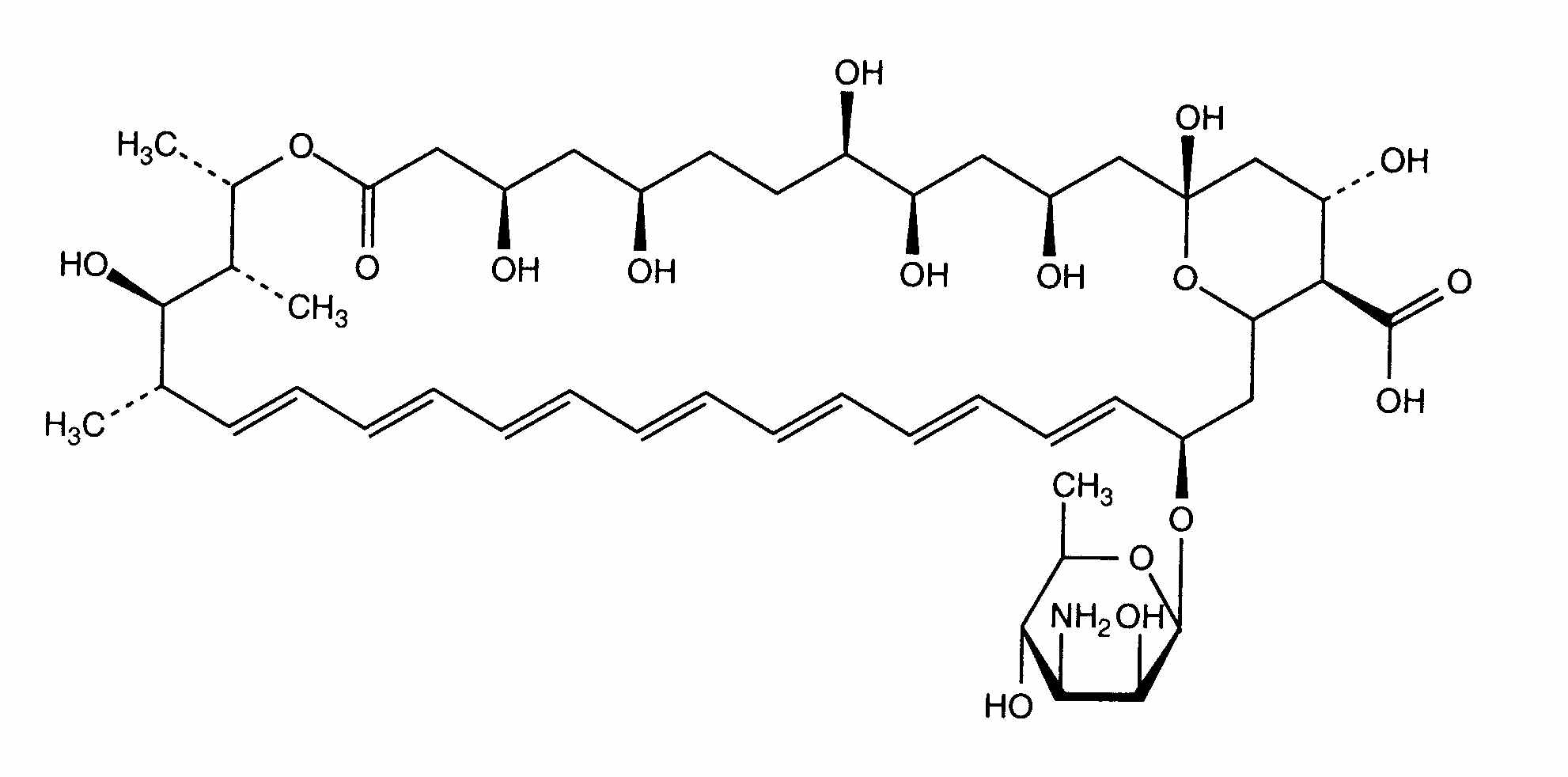
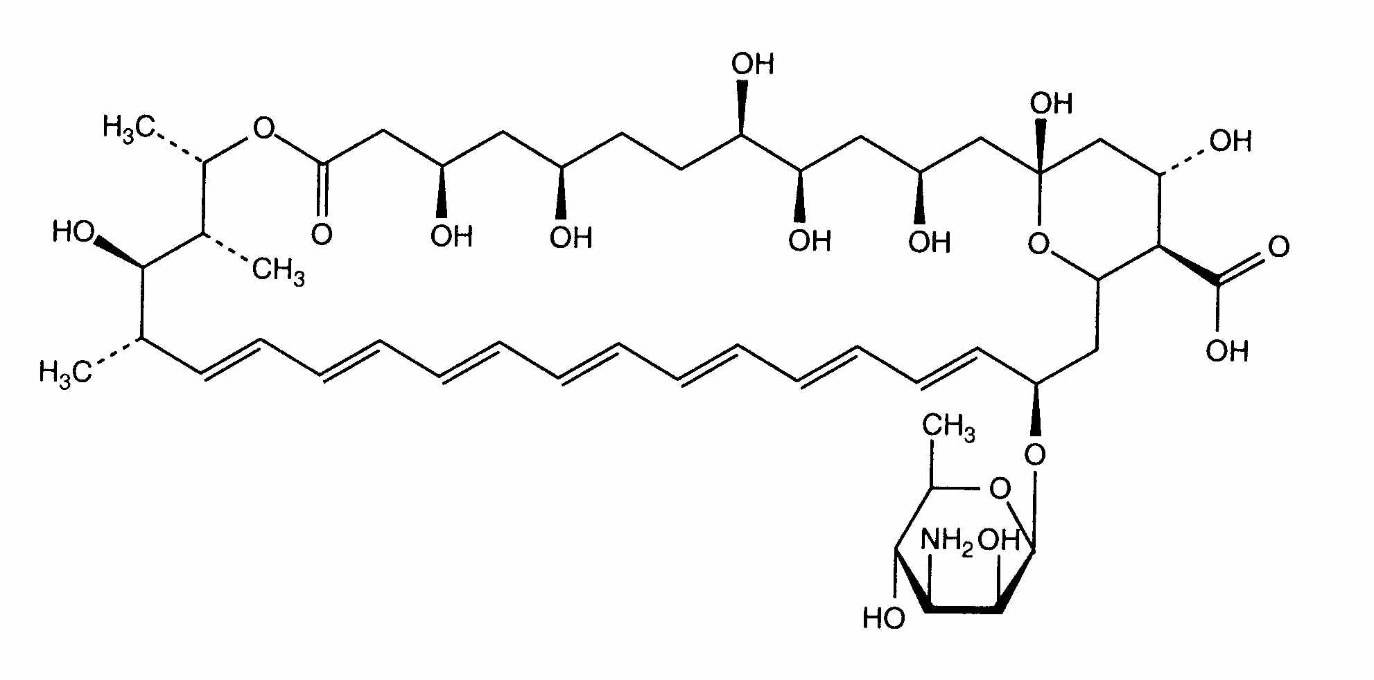
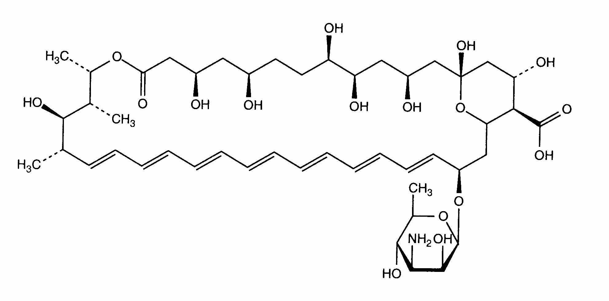
   Struktura chemiczna  

Roztwór do płukania gardła
Stabilność preparatów farmaceutycznych   Roztwór do płukania gardła   Stabilność preparatów farmaceutycznych : Amphotericin B     
Pojemnik Origine Substancja pomocniczna Temperatura Przechowywanie Czas trwania stabilności Bibliografia
Szkło Proszek 3700 mg
Fungizone®
wodorowęglan sodu 1.4% >> 500 ml
19-23°C Chronić od światła
3 Dzień
2820

Polipropylen Proszek 3700 mg
Fungizone®
wodorowęglan sodu 1.4% >> 500 ml
19-23°C Przy świetle lub w ciemności
3 Dzień
2820

Polipropylen Proszek 3700 mg
Fungizone®
wodorowęglan sodu 1.4% >> 500 ml
4°C Chronić od światła
15 Dzień
2820


  Mentions Légales