Poslední aktualizace :
18/03/2026
Priešgrybelinis vaistas   Amphotericin B  
Skystis burnai skalauti
Aerozolis Akių lašai Geriamas tirpalas Įpurškimas
Stabilumas farmacinių preparatų Mišinių stabilumas Stabilumą lemiantys veiksniai Suderinamumas Bibliografija pdf
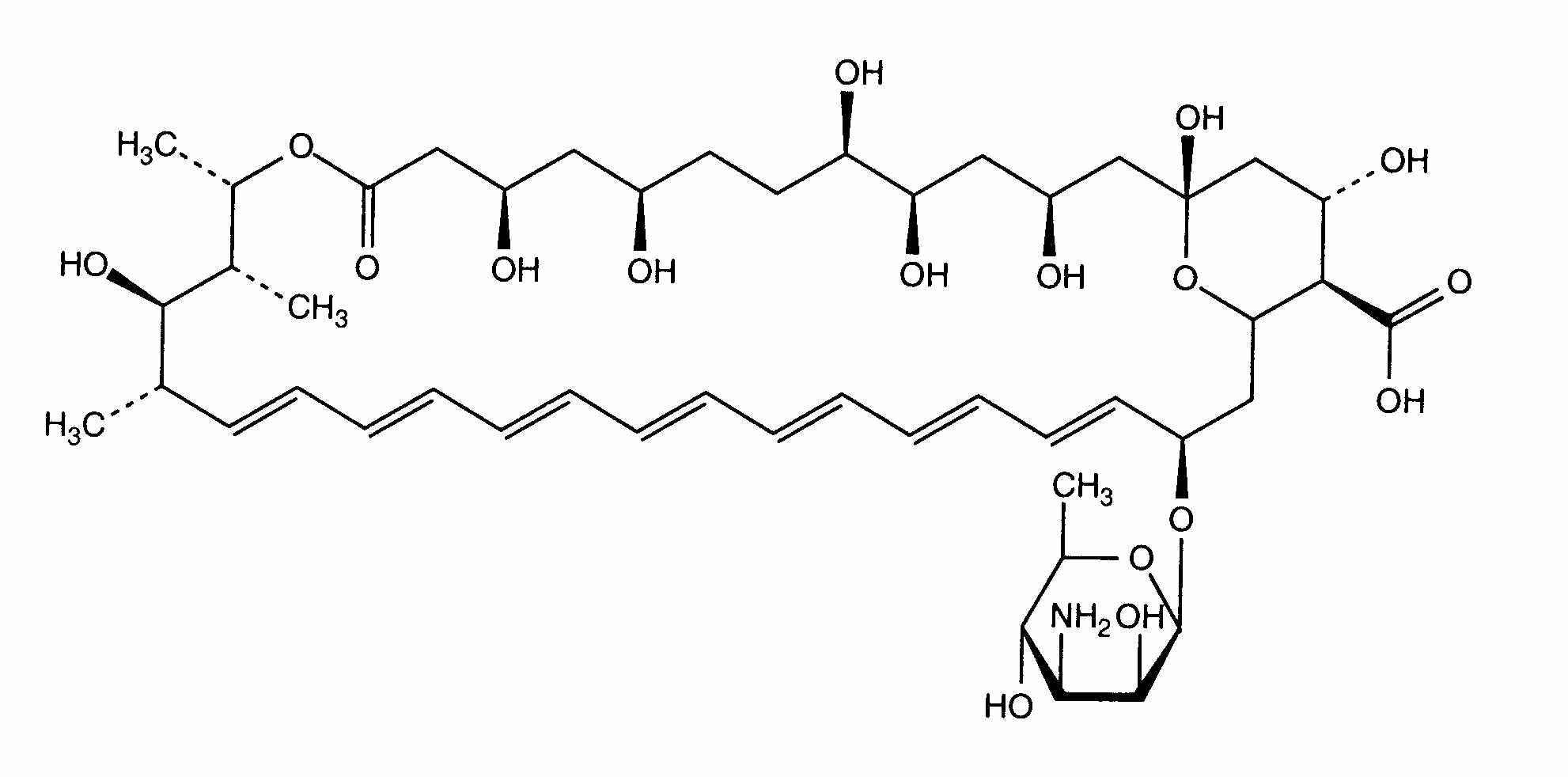
   Cheminė sandara  

Skystis burnai skalauti
Stabilumas farmacinių preparatų   Skystis burnai skalauti   Stabilumas farmacinių preparatų : Amphotericin B     
Pakuotė Origine Ekscipientas Temperatūra Laikymas Stabilumo trukmė Nuorodos
Stiklas Milteliai 3700 mg
Fungizone®
Natrio bikarbonatas 1.4% >> 500 ml
19-23°C Apsaugotas nuo šviesos
3 Diena
2820

Polipropilenas Milteliai 3700 mg
Fungizone®
Natrio bikarbonatas 1.4% >> 500 ml
19-23°C Ir šviesoje, ir tamsoje
3 Diena
2820

Polipropilenas Milteliai 3700 mg
Fungizone®
Natrio bikarbonatas 1.4% >> 500 ml
4°C Apsaugotas nuo šviesos
15 Diena
2820


  Mentions Légales