آخر تحديث :
05/12/2025
مضاد للفطريات   Amphotericin B  
غسول الفم
الأيروصولات حقن عن طريق الفم  قطرات العين
استقرار المستحضرات الصيدلانية استقرار مخاليط العوامل التي تؤثر على الاستقرار التوافق مراجع pdf
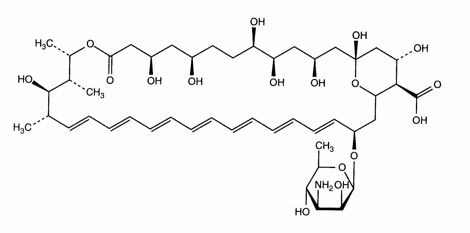
   التركيب الكيميائي  

غسول الفم
استقرار المستحضرات الصيدلانية   غسول الفم   استقرار المستحضرات الصيدلانية : Amphotericin B     
حاوية Origine الاضافات درجة الحرارة تخزين مدة الاستقرار مراجع
زجاج مسحوق 3700 mg
Fungizone®
بيكربونات الصوديوم 1.4% >> 500 ml
19-23°C بعيدا عن الضوء
3 يوم
2820

البولي بروبلين مسحوق 3700 mg
Fungizone®
بيكربونات الصوديوم 1.4% >> 500 ml
19-23°C مع أو بدون ضوء
3 يوم
2820

البولي بروبلين مسحوق 3700 mg
Fungizone®
بيكربونات الصوديوم 1.4% >> 500 ml
4°C بعيدا عن الضوء
15 يوم
2820


  Mentions Légales