最新更新 :
18/03/2026
Infostab
薬剤一覧
まとめ一覧
互換性の検索
Yサイト対応表
引用文献
研究チーム
valistab
ポスター
接続
スポンサー
作成者
ユーザーガイド
ニュースレター
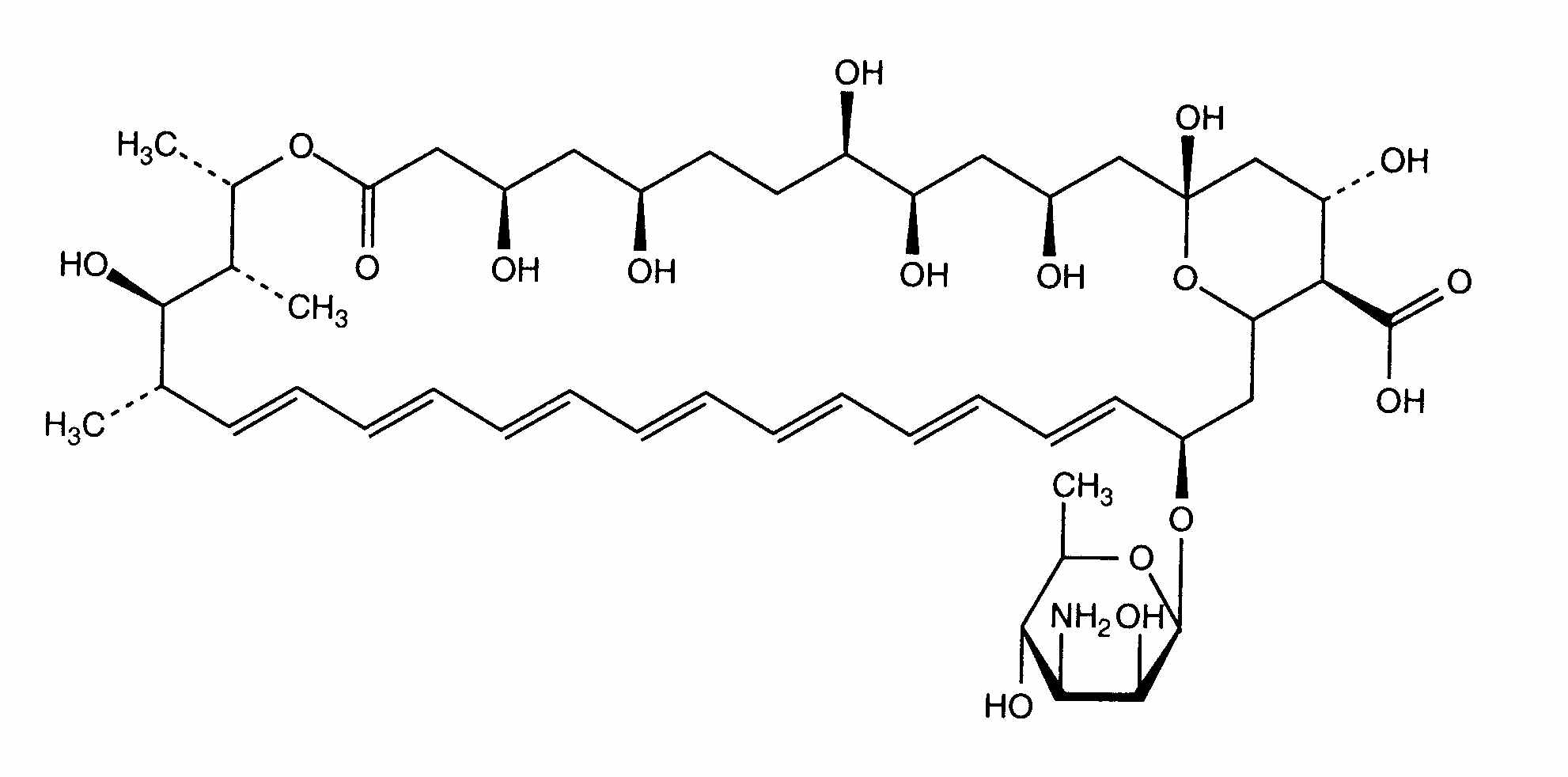
Amphotericin B
化学構造
調剤時の安定性 : Amphotericin B
3700 mg
Fungizone®
重炭酸ナトリウム
1.4% >> 500 ml
19-23°C
3
2820
3700 mg
Fungizone®
重炭酸ナトリウム
1.4% >> 500 ml
19-23°C
3
2820
3700 mg
Fungizone®
重炭酸ナトリウム
1.4% >> 500 ml
4°C
15
2820
Mentions Légales