Senaste uppdateringen :
18/03/2026
Antimykotikum   Amphotericin B  
Aerosol
injektion Munvatten ögondroppar Oral lösning
Stabilitet av läkemedel Stabilitet i blandningar Faktorer som påverkar stabiliteten Kompatibilitet Hänvisningar pdf
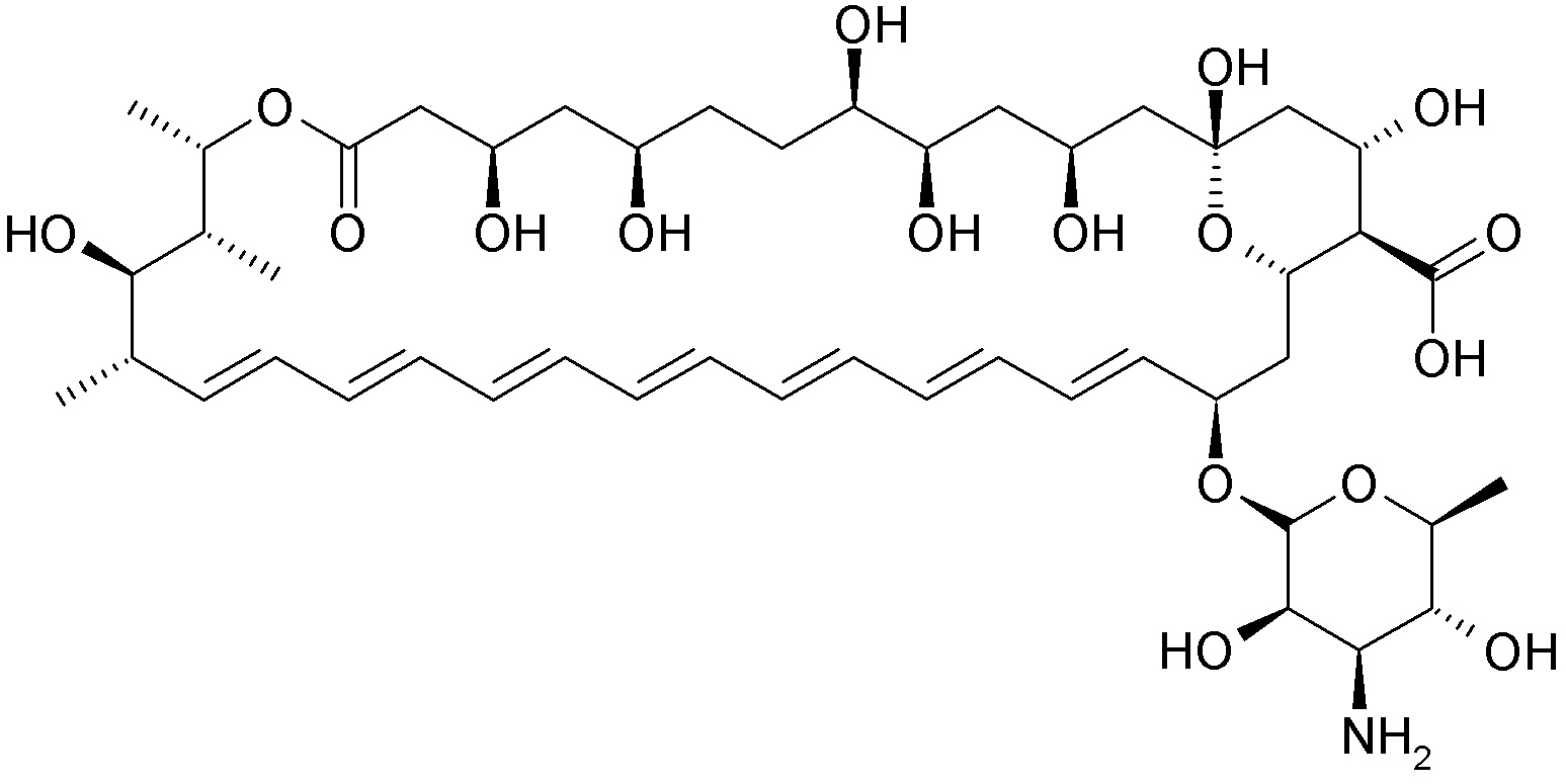
   Molekylstruktur  

Aerosol
Hänvisningar   Aerosol   Hänvisningar : Amphotericin B  
Typ Publikation
3069 tidningen Juarez JC, ,Lopez RM, Hucto M et al.
Stability of amphotericin B in water solution for inhalation.
Eur Hosp Pharm 1997 ; 3: 59-60.

  Mentions Légales