最新更新 :
27/11/2025
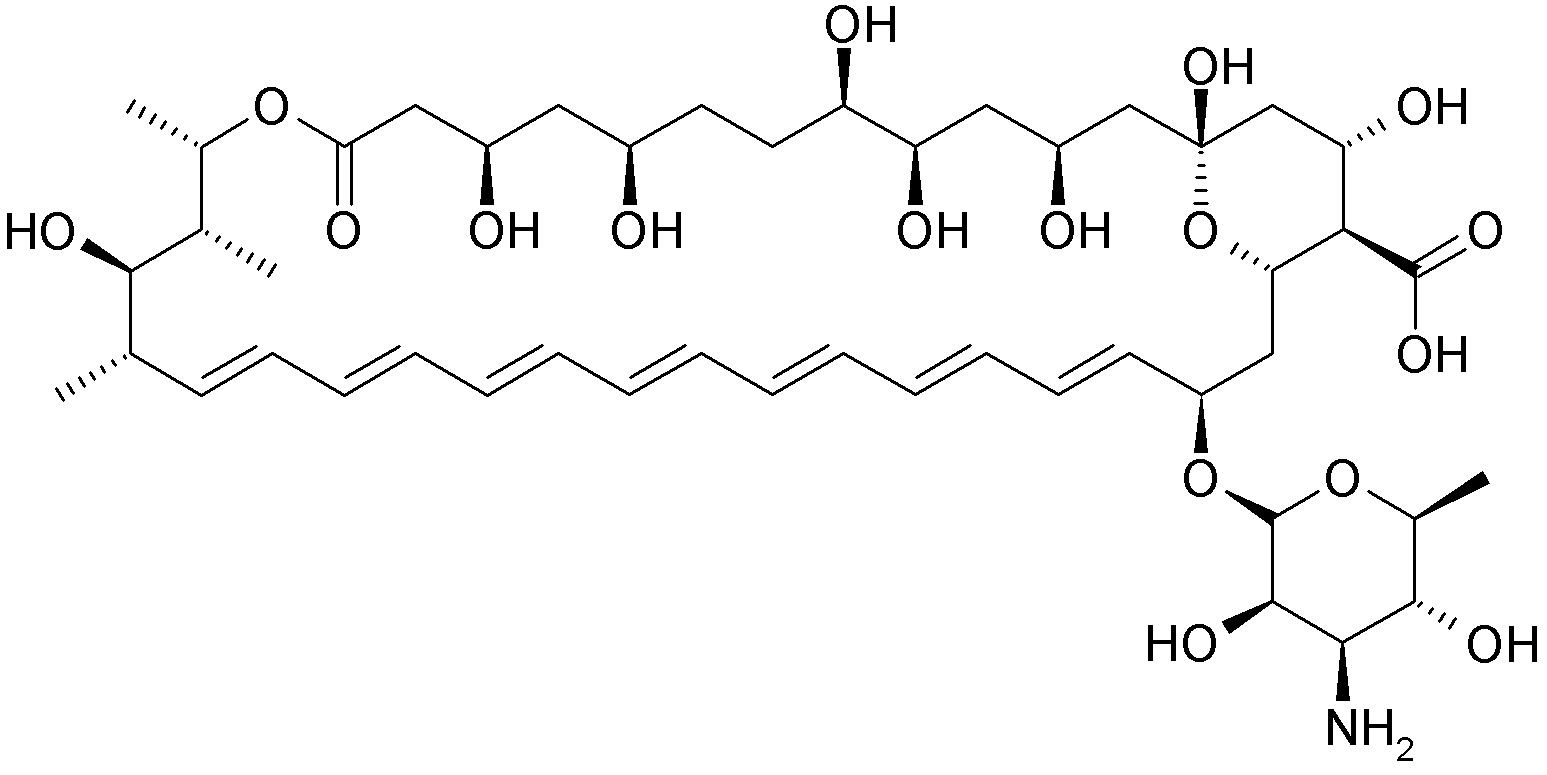
抗真菌药   Amphotericin B  
气雾剂
口服剂 注射液 漱口水 眼药水
制剂的稳定性 混合物稳定性 影响稳定性的因素 兼容性 引用文献 PDF
   化学式  

气雾剂
引用文献   气雾剂   引用文献 : Amphotericin B  
种类 出版物
3069 文献 Juarez JC, ,Lopez RM, Hucto M et al.
Stability of amphotericin B in water solution for inhalation.
Eur Hosp Pharm 1997 ; 3: 59-60.

  Mentions Légales