آخر تحديث :
27/11/2025
مضاد للفطريات   Amphotericin B  
الأيروصولات
حقن عن طريق الفم  غسول الفم قطرات العين
استقرار المستحضرات الصيدلانية استقرار مخاليط العوامل التي تؤثر على الاستقرار التوافق مراجع pdf
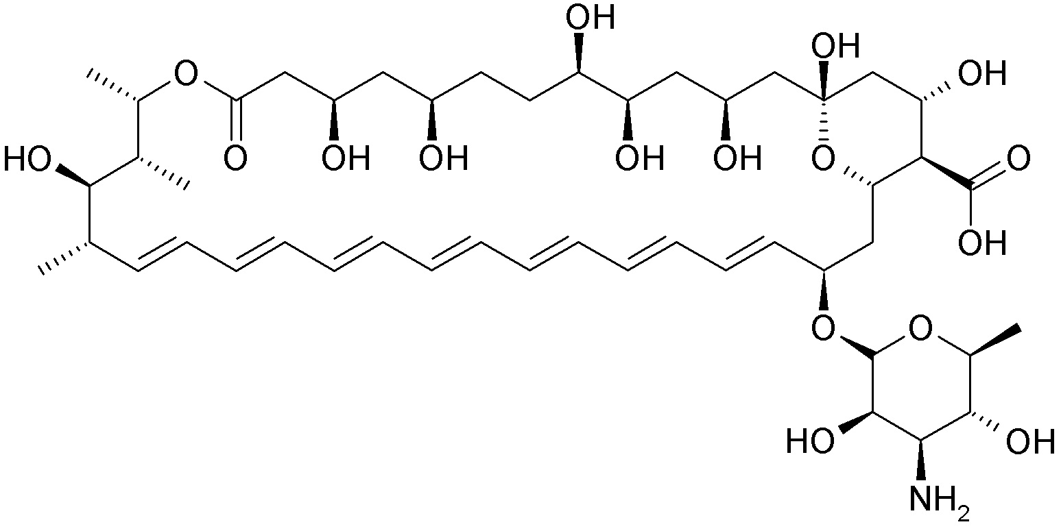
   التركيب الكيميائي  

الأيروصولات
مراجع   الأيروصولات   مراجع : Amphotericin B  
نوع منشور
3069 مجلة Juarez JC, ,Lopez RM, Hucto M et al.
Stability of amphotericin B in water solution for inhalation.
Eur Hosp Pharm 1997 ; 3: 59-60.

  Mentions Légales